🇳🇴 🇬🇧 🇩🇪 🇨🇿 🇫🇮

Meteor, poloha: Falkhytta 2019-12-19 02:09:22 UTC

Soubor KML  |  InteraktivnĂ­ mapa

Mapa zobrazuje dráhy meteoru. Světlejší čáry ukazují směry od pozorovacích stanic při objevení se meteoru a tmavší čáry, kde byl naposledy viděn. Modrá šipka značí viditelnou dráhu meteoru.

static map
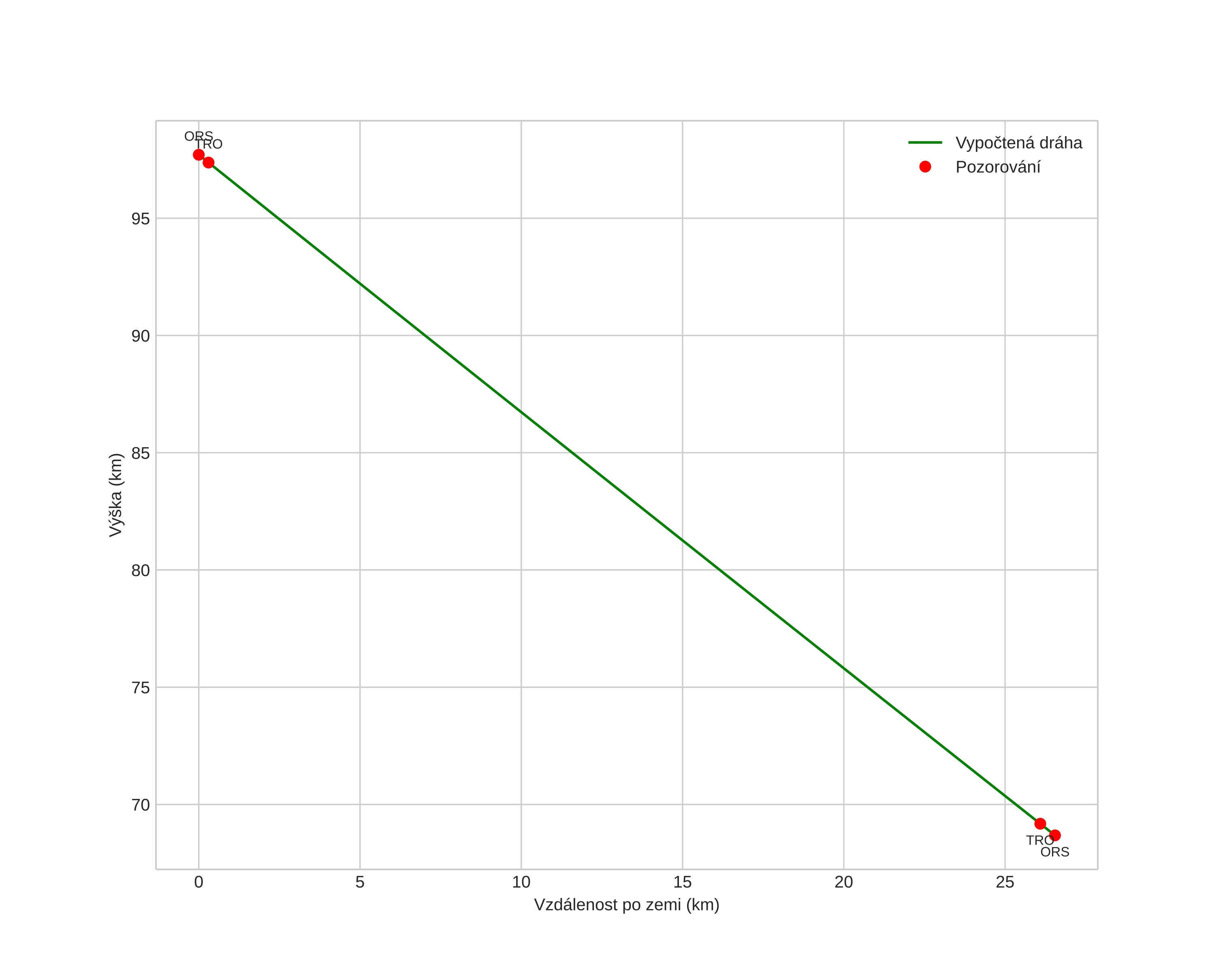
height profile
Atmosférická dráha meteoru:
Počáteční výška: 100,7 km
Konečná výška: 69,0 km
Počáteční poloha: 63,529N 6,474E
Konečná poloha: 63,753N 6,769E
Směr: 30,2°
Sklon: 47,7°
VstupnĂ­ rychlost: 37,3 km/s
Rektascenze radiantu: 06:54 (103,6°)
Deklinace radiantu: 22,6°
MeteorickĂ˝ roj: sporadickĂ˝
Elementy dráhy meteoroidu:
Vzdálenost v periheliu: 0,235 AU
Excentricita: 0,948
Sklon dráhy: 0,4°
Délka vzestupného uzlu: 87,0°
Argument perihelia: 124,0°
Střední anomálie: 356,3°
Epocha: 2019 DEC 19 02:09:22
orbit plot

NeinteraktivnĂ­ graf | InteraktivnĂ­ graf

position vs time
speed and acceleration