🇳🇴 🇬🇧 🇩🇪 🇨🇿 🇫🇮

Meteor, poloha: Vinstra 2019-12-22 21:49:52 UTC

Soubor KML  |  InteraktivnĂ­ mapa

Mapa zobrazuje dráhy meteoru. Světlejší čáry ukazují směry od pozorovacích stanic při objevení se meteoru a tmavší čáry, kde byl naposledy viděn. Modrá šipka značí viditelnou dráhu meteoru.

static map
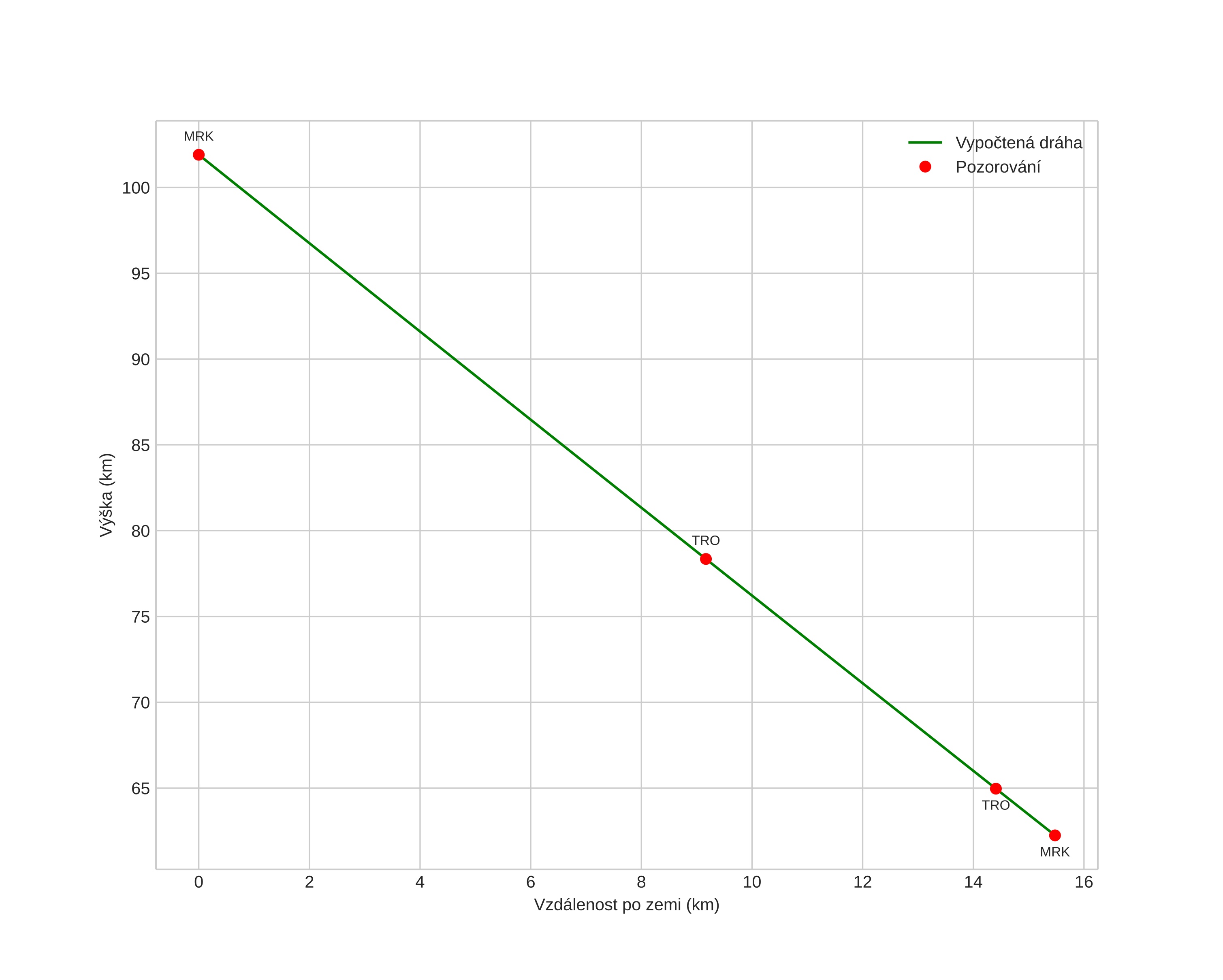
height profile
Atmosférická dráha meteoru:
Počáteční výška: 101,5 km
Konečná výška: 62,0 km
Počáteční poloha: 61,635N 9,636E
Konečná poloha: 61,500N 9,568E
Směr: 193,5°
Sklon: 68,6°
VstupnĂ­ rychlost: 32,4 km/s
Rektascenze radiantu: 06:42 (100,7°)
Deklinace radiantu: 81,6°
MeteorickĂ˝ roj: sporadickĂ˝
Elementy dráhy meteoroidu:
Vzdálenost v periheliu: 0,843 AU
Excentricita: 1,001
Sklon dráhy: 41,2°
Délka vzestupného uzlu: 270,5°
Argument perihelia: 224,5°
Střední anomálie: -0,0°
Epocha: 2019 DEC 22 21:49:52
orbit plot

NeinteraktivnĂ­ graf | InteraktivnĂ­ graf

position vs time
speed and acceleration