🇳🇴 🇬🇧 🇩🇪 🇨🇿 🇫🇮

Meteor, poloha: Otta 2019-12-23 21:55:34 UTC

Soubor KML  |  InteraktivnĂ­ mapa

Mapa zobrazuje dráhy meteoru. Světlejší čáry ukazují směry od pozorovacích stanic při objevení se meteoru a tmavší čáry, kde byl naposledy viděn. Modrá šipka značí viditelnou dráhu meteoru.

static map
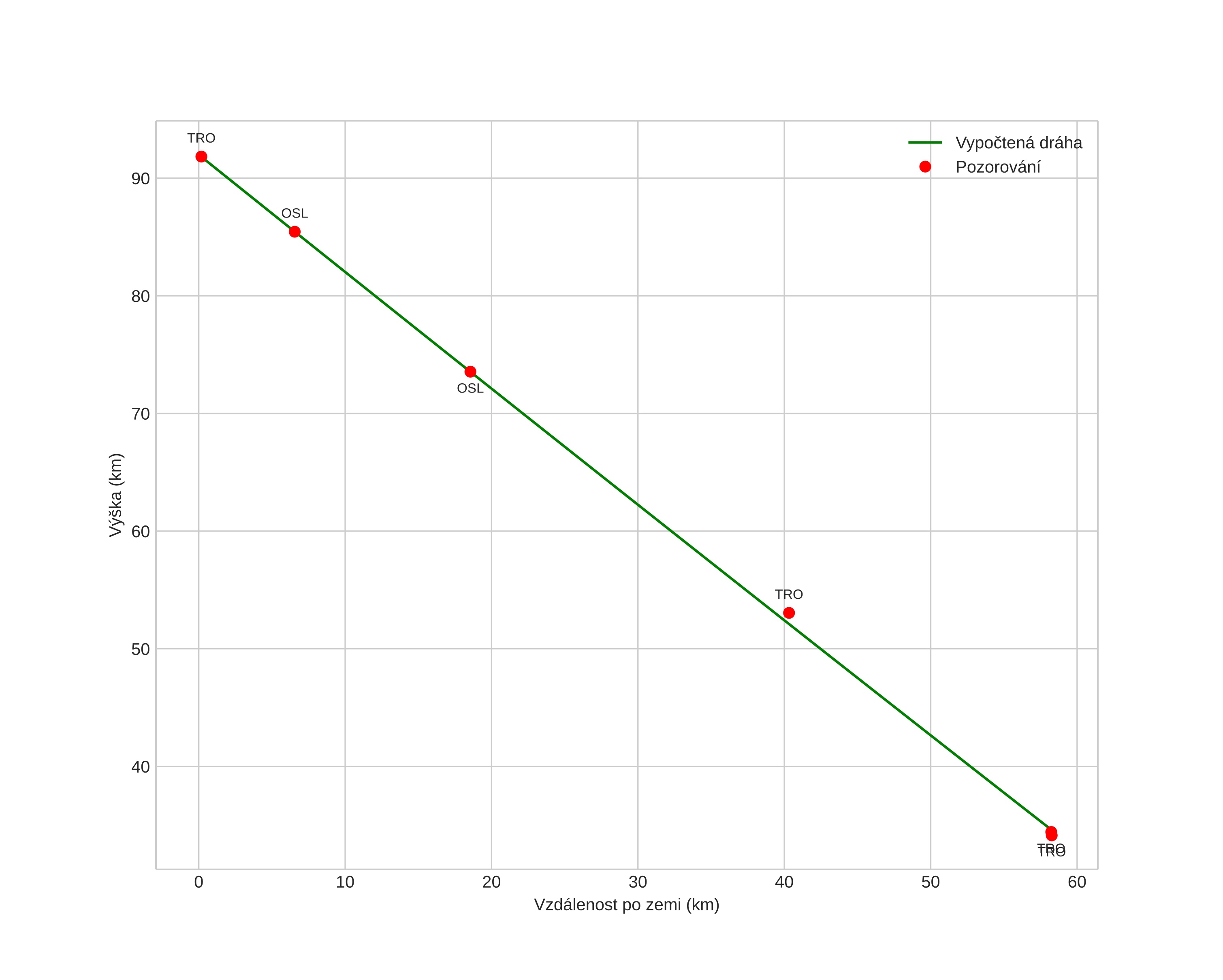
height profile
Atmosférická dráha meteoru:
Počáteční výška: 91,6 km
Konečná výška: 34,1 km
Počáteční poloha: 61,337N 10,218E
Konečná poloha: 61,785N 9,608E
Směr: 327,3°
Sklon: 44,1°
VstupnĂ­ rychlost: 26,5 km/s
Rektascenze radiantu: 06:20 (95,2°)
Deklinace radiantu: 16,4°
MeteorickĂ˝ roj: sporadickĂ˝
Elementy dráhy meteoroidu:
Vzdálenost v periheliu: 0,517 AU
Excentricita: 0,769
Sklon dráhy: 5,7°
Délka vzestupného uzlu: 91,5°
Argument perihelia: 95,2°
Střední anomálie: 347,0°
Epocha: 2019 DEC 23 21:55:34
orbit plot

NeinteraktivnĂ­ graf | InteraktivnĂ­ graf

position vs time
speed and acceleration