🇳🇴 🇬🇧 🇩🇪 🇨🇿 🇫🇮

Meteor Sistrandan yllä 2019-12-24 00:03:46 UTC

KML-tiedosto  |  Interaktiivinen kartta

Kartta näyttää meteorin suuntahavainnot. Vaaleammat viivat näyttävät suunnat havaintoasemilta meteorin ilmestyessä, ja tummemmat viivat näyttävät, missä se viimeksi nähtiin. Sininen nuoli näyttää meteorin näkyvän lennon.

static map
height profile
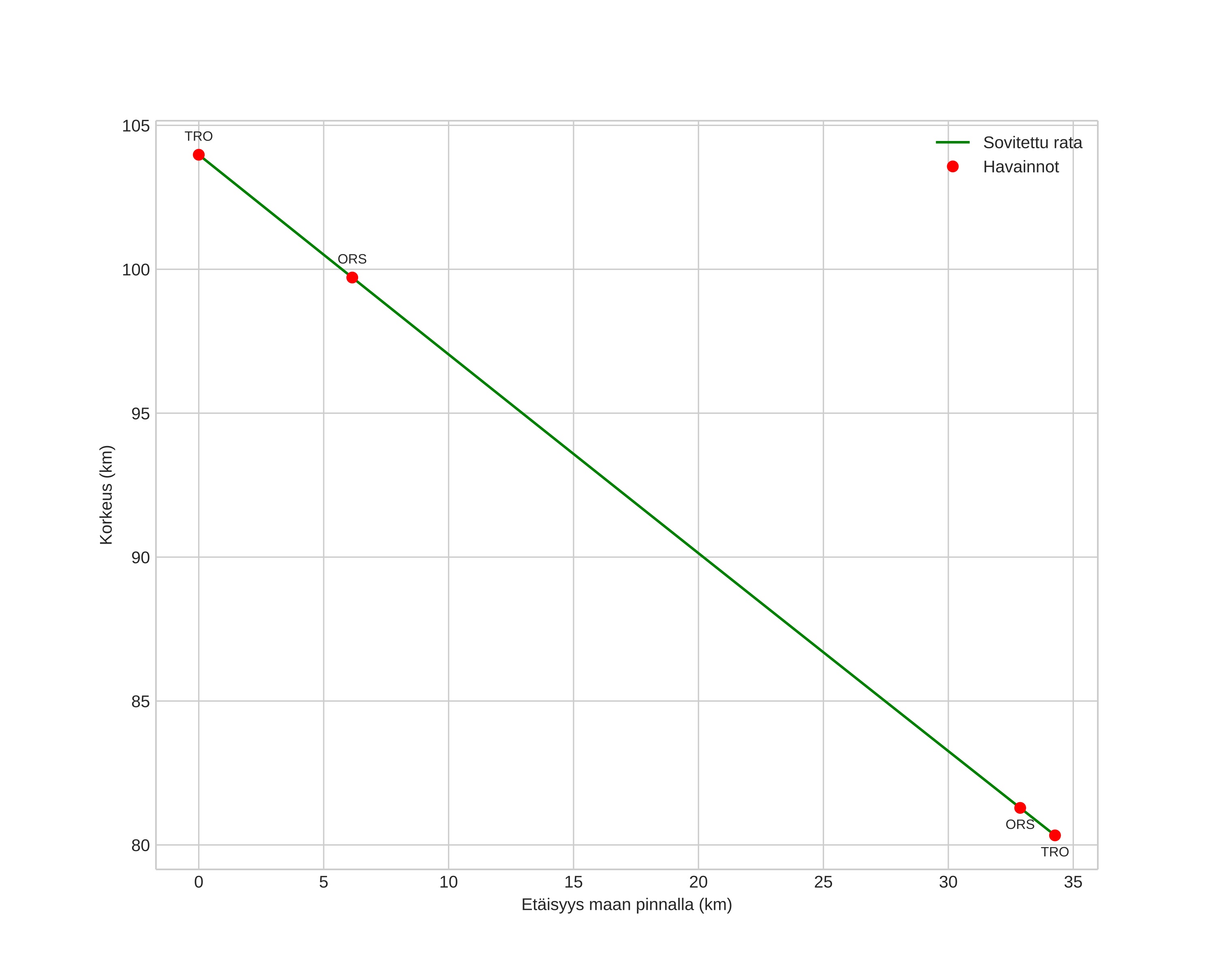
Meteorin ilmakehärata:
Alkukorkeus: 104,0 km
Loppukorkeus: 80,3 km
Alkupiste: 63,943N 9,151E
Loppupiste: 63,864N 8,474E
Suunta: 255,4°
Kallistuskulma: 34,7°
Tulonopeus: 65,5 km/s
Radiantin R,A,: 12:30 (187,7°)
Radiantin Dekl,: 36,9°
Meteoriparvi: Sporadinen
Meteoroidin rataelementit:
Perihelietäisyys: 0,933 AU
Eksentrisyys: 1,190
Inklinaatio: 118,2°
Nousevan solmun pituus: 271,6°
Perihelin argumentti: 205,2°
Keskianomalia: -1,5°
Epookki: 2019 DEC 24 00:03:46
orbit plot

Ei-interaktiivinen kuvaaja | Interaktiivinen kuvaaja

position vs time
speed and acceleration