🇳🇴 🇬🇧 🇩🇪 🇨🇿 🇫🇮

Meteor, poloha: Kiruna 2019-12-27 21:51:09 UTC

Soubor KML  |  InteraktivnĂ­ mapa

Mapa zobrazuje dráhy meteoru. Světlejší čáry ukazují směry od pozorovacích stanic při objevení se meteoru a tmavší čáry, kde byl naposledy viděn. Modrá šipka značí viditelnou dráhu meteoru.

static map
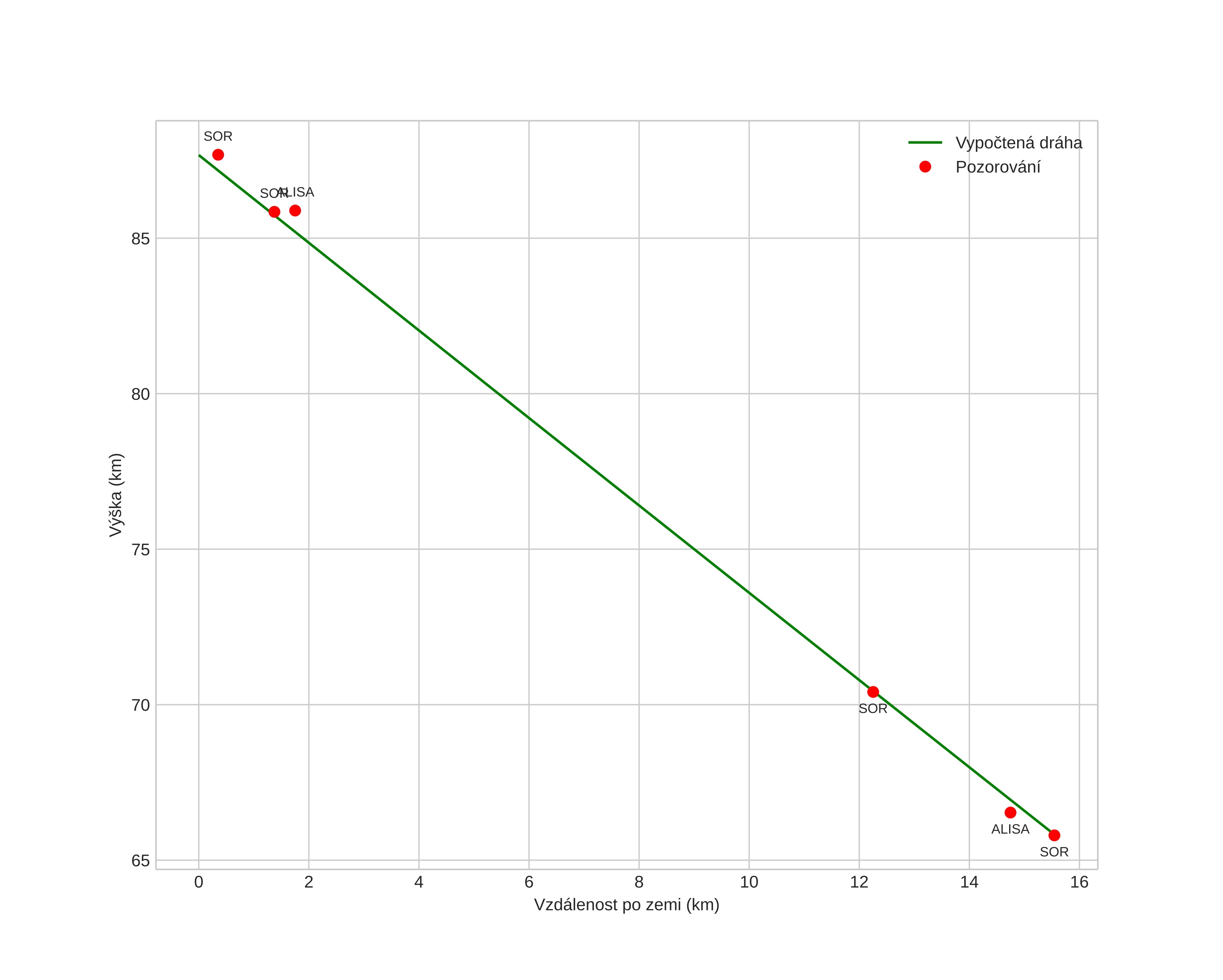
height profile
Atmosférická dráha meteoru:
Počáteční výška: 87,4 km
Konečná výška: 67,0 km
Počáteční poloha: 68,045N 20,569E
Konečná poloha: 67,938N 20,811E
Směr: 139,5°
Sklon: 52,6°
VstupnĂ­ rychlost: 20,3 km/s
Rektascenze radiantu: 22:08 (332,0°)
Deklinace radiantu: 62,1°
MeteorickĂ˝ roj: sporadickĂ˝
Elementy dráhy meteoroidu:
Vzdálenost v periheliu: 0,981 AU
Excentricita: 0,830
Sklon dráhy: 22,2°
Délka vzestupného uzlu: 275,6°
Argument perihelia: 186,0°
Střední anomálie: 359,7°
Epocha: 2019 DEC 27 21:51:09
orbit plot

NeinteraktivnĂ­ graf | InteraktivnĂ­ graf

position vs time
speed and acceleration