🇳🇴 🇬🇧 🇩🇪 🇨🇿 🇫🇮

Meteor, poloha: Treungen 2019-12-30 22:21:47 UTC

Soubor KML  |  InteraktivnĂ­ mapa

Mapa zobrazuje dráhy meteoru. Světlejší čáry ukazují směry od pozorovacích stanic při objevení se meteoru a tmavší čáry, kde byl naposledy viděn. Modrá šipka značí viditelnou dráhu meteoru.

static map
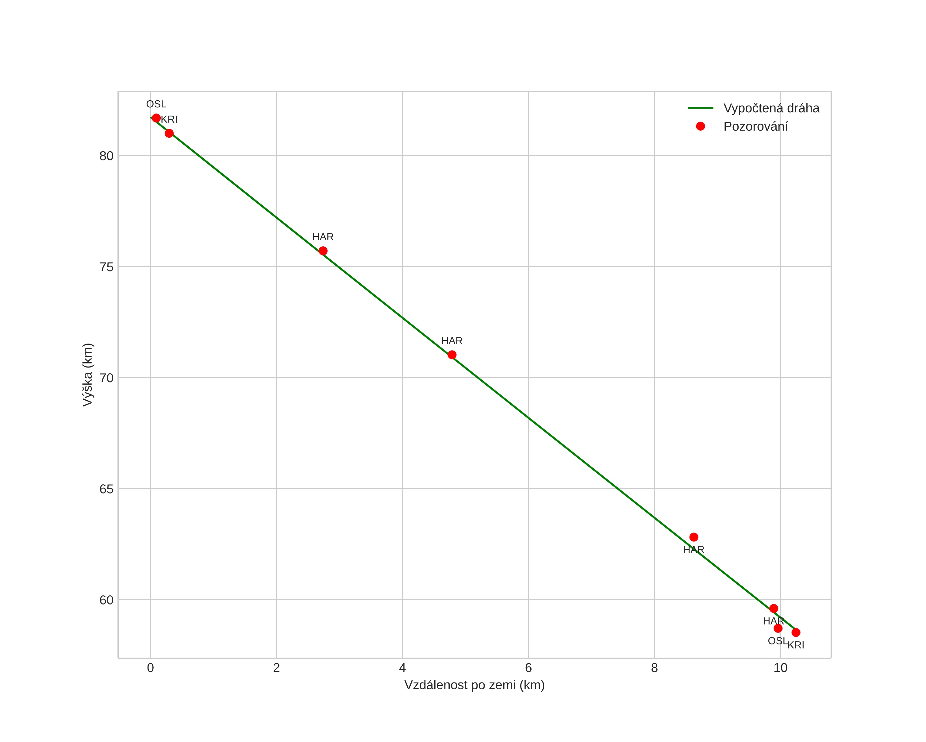
height profile
Atmosférická dráha meteoru:
Počáteční výška: 87,0 km
Konečná výška: 58,5 km
Počáteční poloha: 59,199N 8,270E
Konečná poloha: 59,118N 8,395E
Směr: 141,7°
Sklon: 68,0°
VstupnĂ­ rychlost: 20,4 km/s
Rektascenze radiantu: 01:56 (29,0°)
Deklinace radiantu: 70,7°
MeteorickĂ˝ roj: sporadickĂ˝
Elementy dráhy meteoroidu:
Vzdálenost v periheliu: 0,936 AU
Excentricita: 0,775
Sklon dráhy: 20,6°
Délka vzestupného uzlu: 278,6°
Argument perihelia: 207,1°
Střední anomálie: 357,8°
Epocha: 2019 DEC 30 22:21:47
orbit plot

NeinteraktivnĂ­ graf | InteraktivnĂ­ graf

position vs time
speed and acceleration