🇳🇴 🇬🇧 🇩🇪 🇨🇿 🇫🇮

Meteor, poloha: Mellerud 2020-01-04 05:50:23 UTC

Soubor KML  |  InteraktivnĂ­ mapa

Mapa zobrazuje dráhy meteoru. Světlejší čáry ukazují směry od pozorovacích stanic při objevení se meteoru a tmavší čáry, kde byl naposledy viděn. Modrá šipka značí viditelnou dráhu meteoru.

static map
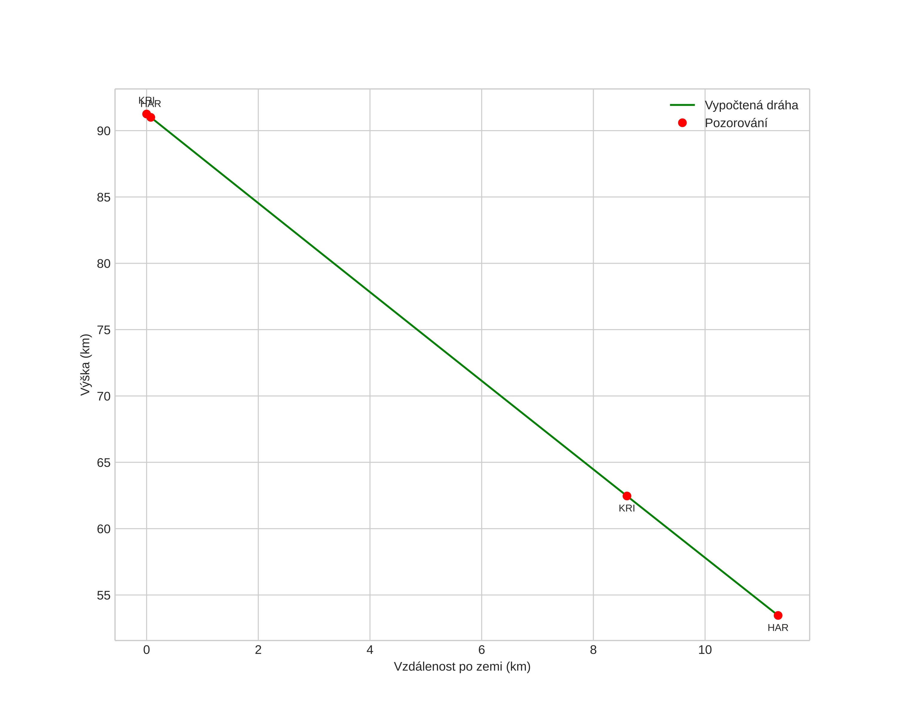
height profile
Atmosférická dráha meteoru:
Počáteční výška: 94,2 km
Konečná výška: 53,4 km
Počáteční poloha: 58,744N 12,703E
Konečná poloha: 58,778N 12,501E
Směr: 288,1°
Sklon: 73,3°
VstupnĂ­ rychlost: 41,1 km/s
Rektascenze radiantu: 15:14 (228,6°)
Deklinace radiantu: 50,4°
MeteorickĂ˝ roj: Kvadrantidy
Elementy dráhy meteoroidu:
Vzdálenost v periheliu: 0,982 AU
Excentricita: 0,579
Sklon dráhy: 70,0°
Délka vzestupného uzlu: 283,0°
Argument perihelia: 174,6°
Střední anomálie: 1,2°
Epocha: 2020 JAN 04 05:50:23
orbit plot

NeinteraktivnĂ­ graf | InteraktivnĂ­ graf

position vs time
speed and acceleration