🇳🇴 🇬🇧 🇩🇪 🇨🇿 🇫🇮

Meteor, poloha: Teigebyen 2020-01-04 20:13:40 UTC

Soubor KML  |  InteraktivnĂ­ mapa

Mapa zobrazuje dráhy meteoru. Světlejší čáry ukazují směry od pozorovacích stanic při objevení se meteoru a tmavší čáry, kde byl naposledy viděn. Modrá šipka značí viditelnou dráhu meteoru.

static map
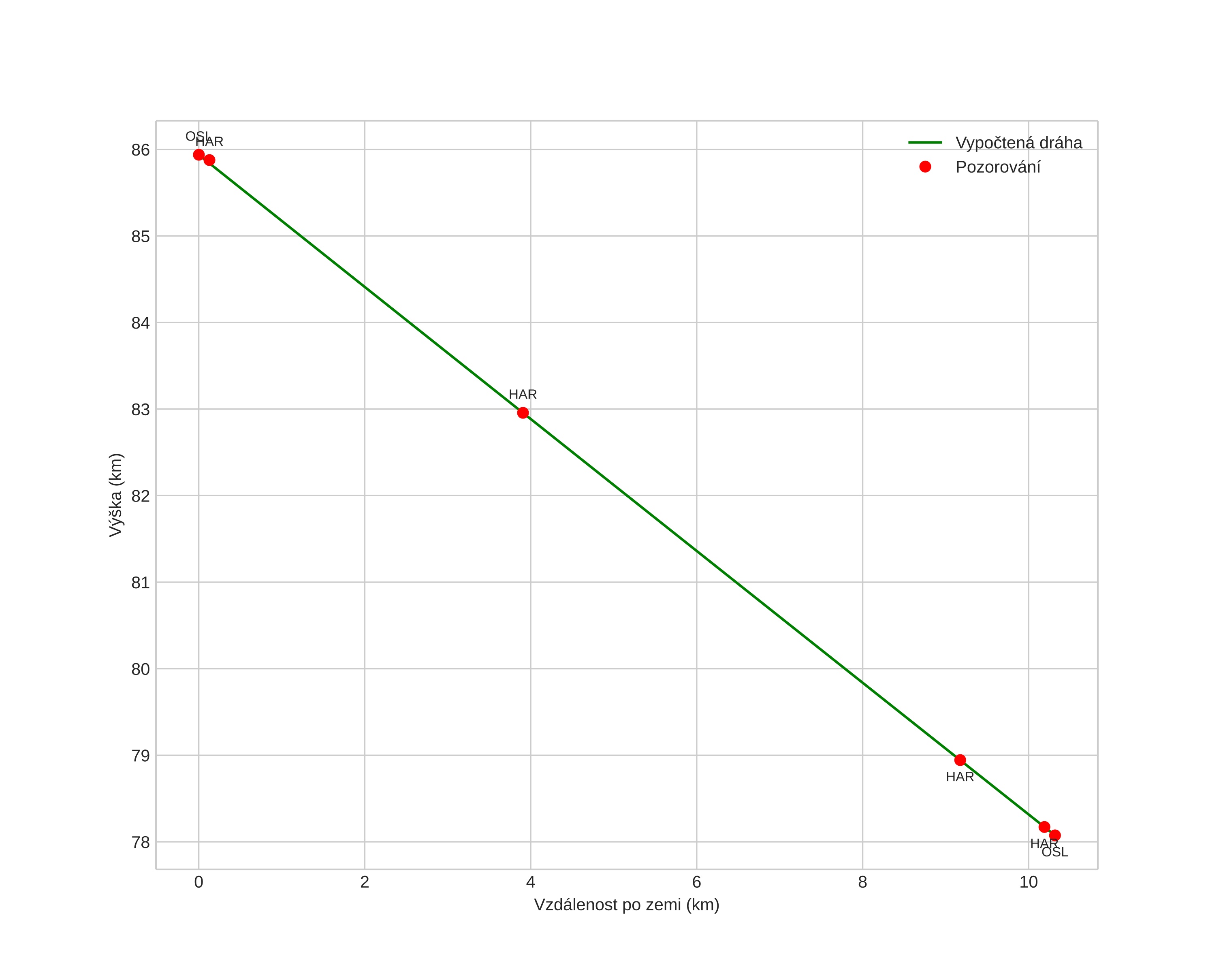
height profile
Atmosférická dráha meteoru:
Počáteční výška: 88,7 km
Konečná výška: 78,7 km
Počáteční poloha: 60,206N 10,806E
Konečná poloha: 60,163N 11,035E
Směr: 110,8°
Sklon: 36,5°
VstupnĂ­ rychlost: 17,8 km/s
Rektascenze radiantu: 21:45 (326,4°)
Deklinace radiantu: 34,9°
MeteorickĂ˝ roj: sporadickĂ˝
Elementy dráhy meteoroidu:
Vzdálenost v periheliu: 0,968 AU
Excentricita: 0,824
Sklon dráhy: 14,3°
Délka vzestupného uzlu: 283,6°
Argument perihelia: 164,8°
Střední anomálie: 0,8°
Epocha: 2020 JAN 04 20:13:40
orbit plot

NeinteraktivnĂ­ graf | InteraktivnĂ­ graf

position vs time
speed and acceleration