🇳🇴 🇬🇧 🇩🇪 🇨🇿 🇫🇮

Meteor, poloha: Nesoddtangen 2020-01-04 20:52:12 UTC

Soubor KML  |  InteraktivnĂ­ mapa

Mapa zobrazuje dráhy meteoru. Světlejší čáry ukazují směry od pozorovacích stanic při objevení se meteoru a tmavší čáry, kde byl naposledy viděn. Modrá šipka značí viditelnou dráhu meteoru.

static map
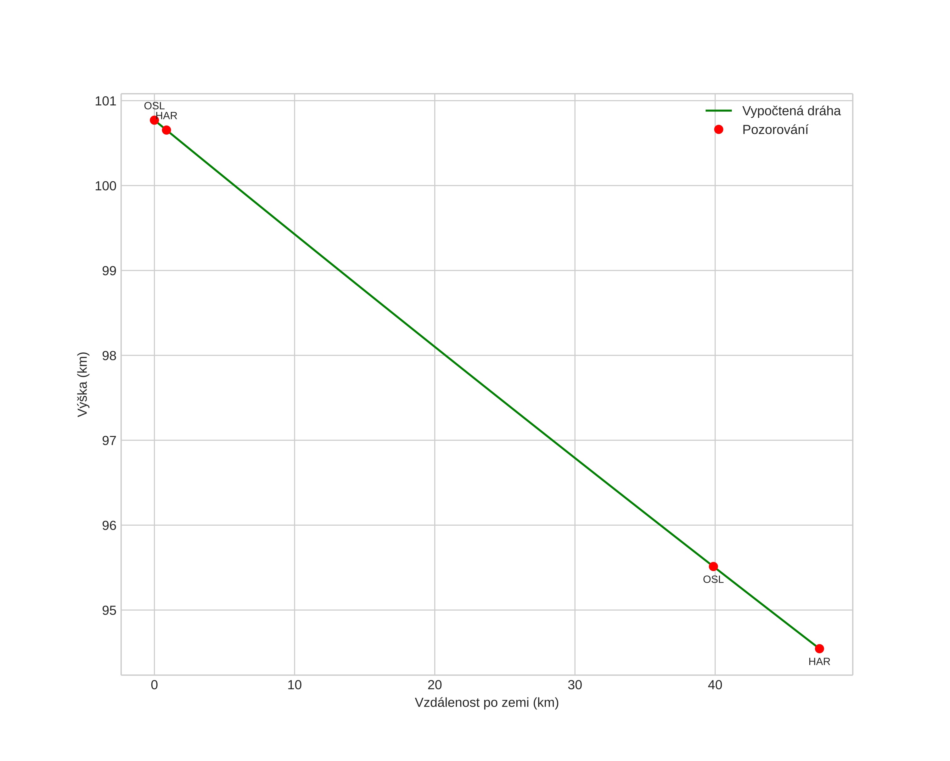
height profile
Atmosférická dráha meteoru:
Počáteční výška: 110,1 km
Konečná výška: 98,7 km
Počáteční poloha: 60,032N 11,290E
Konečná poloha: 59,770N 10,697E
Směr: 228,9°
Sklon: 14,5°
VstupnĂ­ rychlost: 61,2 km/s
Rektascenze radiantu: 12:35 (188,8°)
Deklinace radiantu: 31,9°
MeteorickĂ˝ roj: sporadickĂ˝
Elementy dráhy meteoroidu:
Vzdálenost v periheliu: 0,788 AU
Excentricita: 0,847
Sklon dráhy: 118,3°
Délka vzestupného uzlu: 283,7°
Argument perihelia: 235,5°
Střední anomálie: 357,1°
Epocha: 2020 JAN 04 20:52:12
orbit plot

NeinteraktivnĂ­ graf | InteraktivnĂ­ graf

position vs time
speed and acceleration