🇳🇴 🇬🇧 🇩🇪 🇨🇿 🇫🇮

Meteor Elverumin yllä 2020-01-04 23:21:38 UTC

KML-tiedosto  |  Interaktiivinen kartta

Kartta näyttää meteorin suuntahavainnot. Vaaleammat viivat näyttävät suunnat havaintoasemilta meteorin ilmestyessä, ja tummemmat viivat näyttävät, missä se viimeksi nähtiin. Sininen nuoli näyttää meteorin näkyvän lennon.

static map
height profile
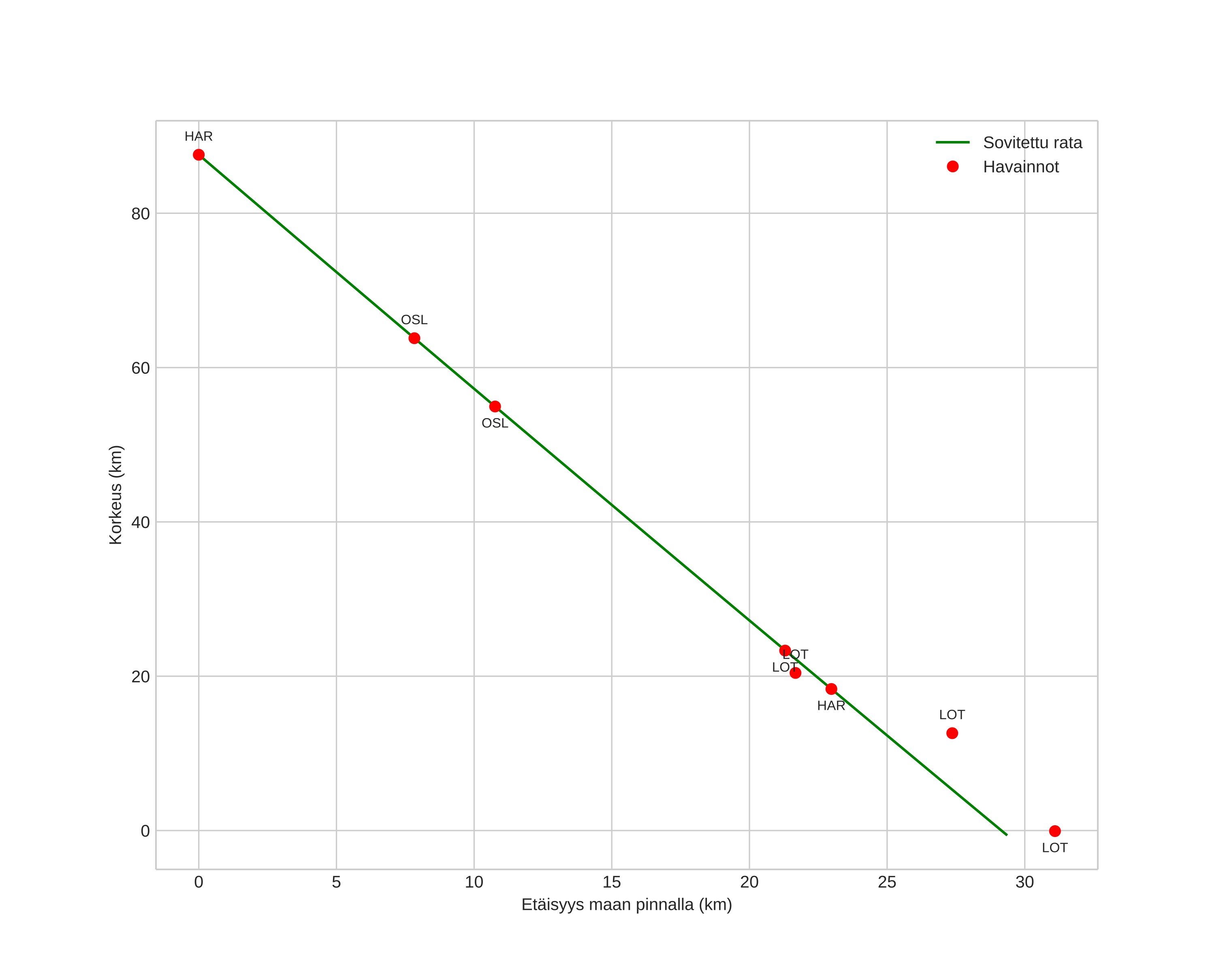
Meteorin ilmakehärata:
Alkukorkeus: 89,8 km
Loppukorkeus: 6,1 km
Alkupiste: 60,485N 11,206E
Loppupiste: 60,716N 11,585E
Suunta: 38,7°
Kallistuskulma: 68,5°
Tulonopeus: 13,8 km/s
Radiantin R,A,: 05:32 (83,1°)
Radiantin Dekl,: 36,5°
Meteoriparvi: Sporadinen
Meteoroidin rataelementit:
Perihelietäisyys: 0,882 AU
Eksentrisyys: 0,349
Inklinaatio: 3,3°
Nousevan solmun pituus: 283,7°
Perihelin argumentti: 233,2°
Keskianomalia: 334,1°
Epookki: 2020 JAN 04 23:21:38
orbit plot

Ei-interaktiivinen kuvaaja | Interaktiivinen kuvaaja

position vs time
speed and acceleration