🇳🇴 🇬🇧 🇩🇪 🇨🇿 🇫🇮

Meteor, poloha: Hvittingfoss 2020-01-08 16:35:46 UTC

Soubor KML  |  InteraktivnĂ­ mapa

Mapa zobrazuje dráhy meteoru. Světlejší čáry ukazují směry od pozorovacích stanic při objevení se meteoru a tmavší čáry, kde byl naposledy viděn. Modrá šipka značí viditelnou dráhu meteoru.

static map
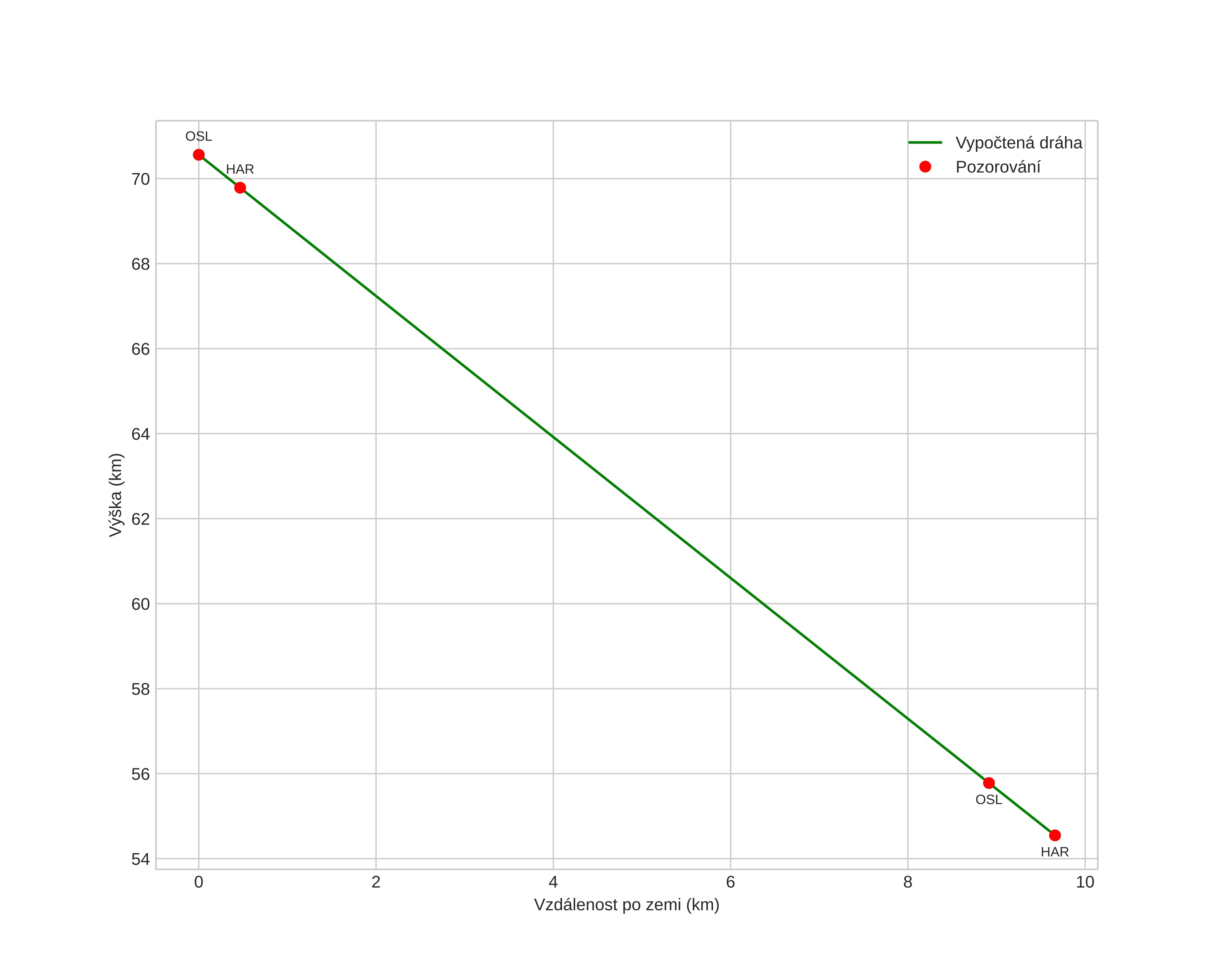
height profile
Atmosférická dráha meteoru:
Počáteční výška: 72,0 km
Konečná výška: 55,4 km
Počáteční poloha: 59,360N 9,984E
Konečná poloha: 59,433N 9,888E
Směr: 326,2°
Sklon: 59,5°
VstupnĂ­ rychlost: 11,8 km/s
Rektascenze radiantu: 01:58 (29,5°)
Deklinace radiantu: 16,7°
MeteorickĂ˝ roj: sporadickĂ˝
Elementy dráhy meteoroidu:
Vzdálenost v periheliu: 0,981 AU
Excentricita: 0,274
Sklon dráhy: 0,5°
Délka vzestupného uzlu: 287,3°
Argument perihelia: 188,0°
Střední anomálie: 355,8°
Epocha: 2020 JAN 08 16:35:46
orbit plot

NeinteraktivnĂ­ graf | InteraktivnĂ­ graf

position vs time
speed and acceleration