🇳🇴 🇬🇧 🇩🇪 🇨🇿 🇫🇮

Meteor, poloha: Mjøndalen 2020-01-09 04:03:29 UTC

Soubor KML  |  InteraktivnĂ­ mapa

Mapa zobrazuje dráhy meteoru. Světlejší čáry ukazují směry od pozorovacích stanic při objevení se meteoru a tmavší čáry, kde byl naposledy viděn. Modrá šipka značí viditelnou dráhu meteoru.

static map
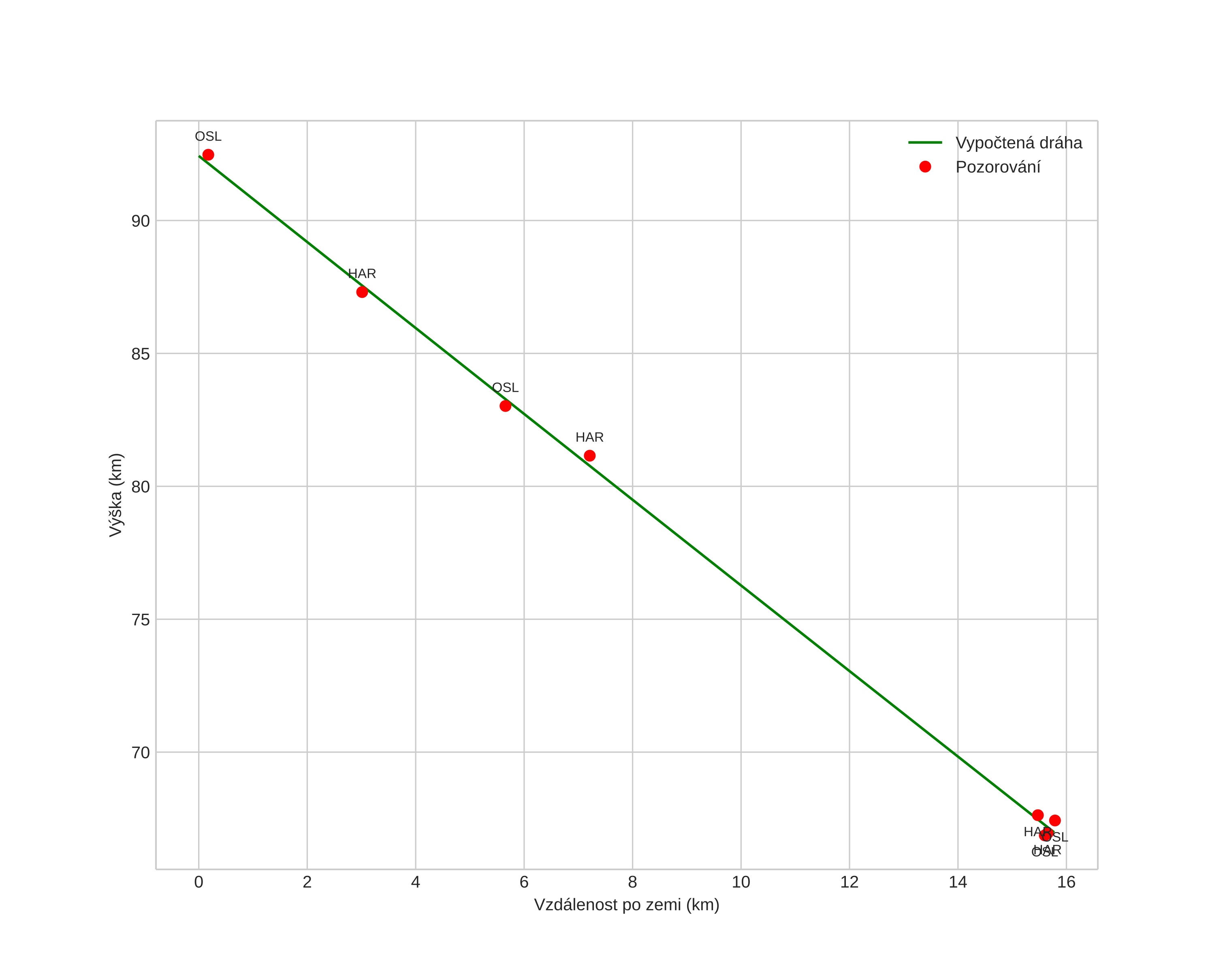
height profile
Atmosférická dráha meteoru:
Počáteční výška: 95,8 km
Konečná výška: 69,1 km
Počáteční poloha: 59,641N 10,344E
Konečná poloha: 59,626N 10,061E
Směr: 264,0°
Sklon: 59,1°
VstupnĂ­ rychlost: 41,1 km/s
Rektascenze radiantu: 15:29 (232,3°)
Deklinace radiantu: 49,9°
MeteorickĂ˝ roj: Kvadrantidy
Elementy dráhy meteoroidu:
Vzdálenost v periheliu: 0,982 AU
Excentricita: 0,616
Sklon dráhy: 69,2°
Délka vzestupného uzlu: 288,1°
Argument perihelia: 174,7°
Střední anomálie: 1,0°
Epocha: 2020 JAN 09 04:03:29
orbit plot

NeinteraktivnĂ­ graf | InteraktivnĂ­ graf

position vs time
speed and acceleration