🇳🇴 🇬🇧 🇩🇪 🇨🇿 🇫🇮

Meteor, poloha: Lysaker 2020-01-13 02:55:38 UTC

Soubor KML  |  InteraktivnĂ­ mapa

Mapa zobrazuje dráhy meteoru. Světlejší čáry ukazují směry od pozorovacích stanic při objevení se meteoru a tmavší čáry, kde byl naposledy viděn. Modrá šipka značí viditelnou dráhu meteoru.

static map
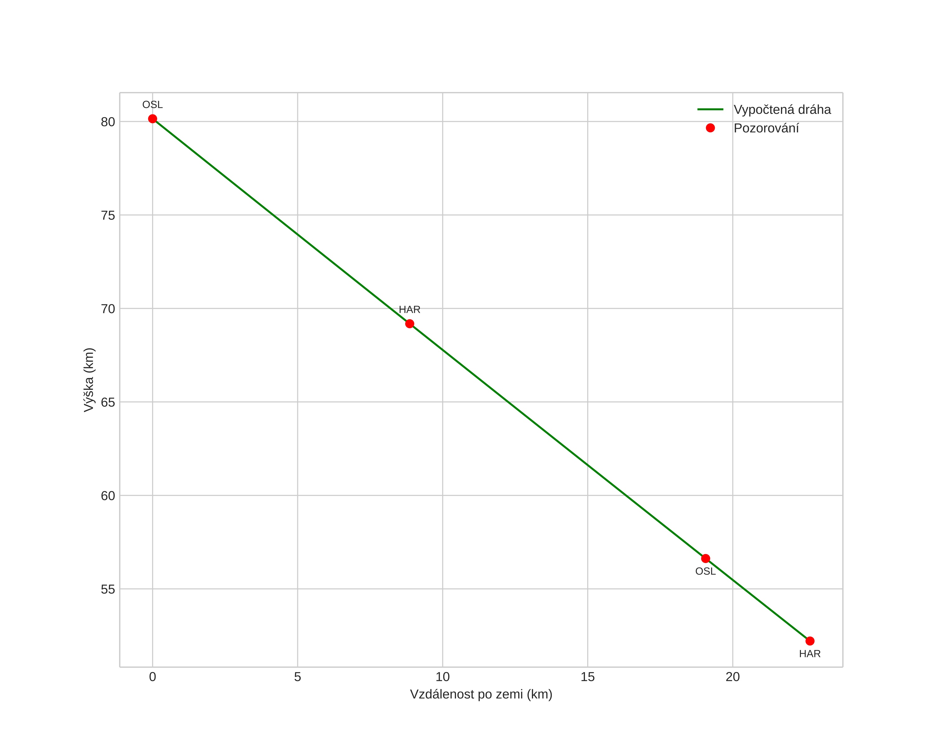
height profile
Atmosférická dráha meteoru:
Počáteční výška: 76,9 km
Konečná výška: 53,1 km
Počáteční poloha: 60,085N 10,297E
Konečná poloha: 59,997N 10,595E
Směr: 120,5°
Sklon: 51,1°
VstupnĂ­ rychlost: 17,5 km/s
Rektascenze radiantu: 05:23 (80,8°)
Deklinace radiantu: 52,3°
MeteorickĂ˝ roj: sporadickĂ˝
Elementy dráhy meteoroidu:
Vzdálenost v periheliu: 0,888 AU
Excentricita: 0,646
Sklon dráhy: 10,5°
Délka vzestupného uzlu: 292,1°
Argument perihelia: 221,2°
Střední anomálie: 352,7°
Epocha: 2020 JAN 13 02:55:38
orbit plot

NeinteraktivnĂ­ graf | InteraktivnĂ­ graf

position vs time
speed and acceleration