🇳🇴 🇬🇧 🇩🇪 🇨🇿 🇫🇮

Meteor, poloha: Drøbak 2020-01-21 05:12:03 UTC

Soubor KML  |  InteraktivnĂ­ mapa

Mapa zobrazuje dráhy meteoru. Světlejší čáry ukazují směry od pozorovacích stanic při objevení se meteoru a tmavší čáry, kde byl naposledy viděn. Modrá šipka značí viditelnou dráhu meteoru.

static map
height profile
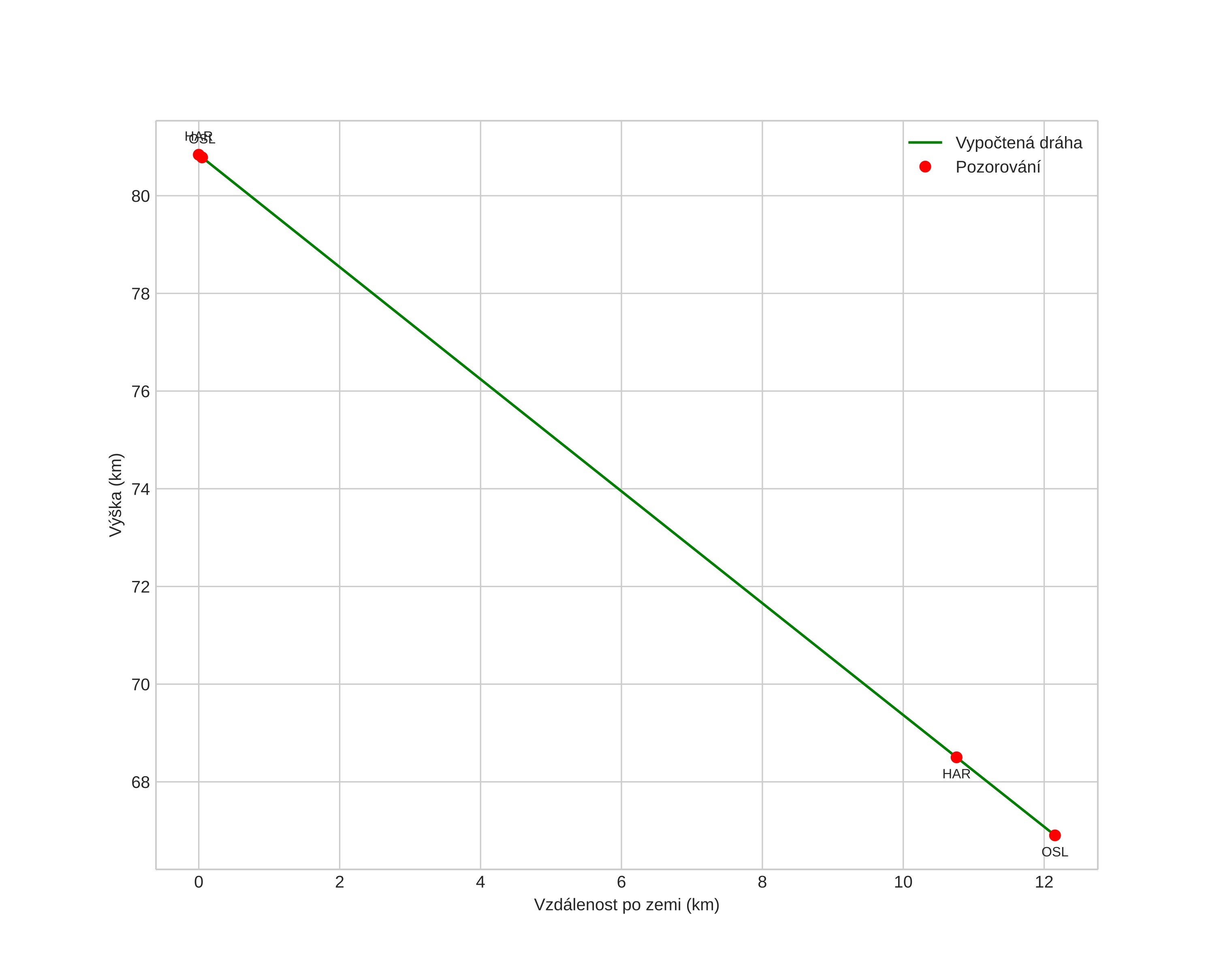
Atmosférická dráha meteoru:
Počáteční výška: 86,7 km
Konečná výška: 73,8 km
Počáteční poloha: 59,799N 10,511E
Konečná poloha: 59,692N 10,596E
Směr: 158,1°
Sklon: 45,2°
VstupnĂ­ rychlost: 17,8 km/s
Rektascenze radiantu: 04:53 (73,4°)
Deklinace radiantu: 64,9°
MeteorickĂ˝ roj: sporadickĂ˝
Elementy dráhy meteoroidu:
Vzdálenost v periheliu: 0,935 AU
Excentricita: 0,695
Sklon dráhy: 14,3°
Délka vzestupného uzlu: 300,3°
Argument perihelia: 208,6°
Střední anomálie: 356,2°
Epocha: 2020 JAN 21 05:12:03
orbit plot

NeinteraktivnĂ­ graf | InteraktivnĂ­ graf

position vs time
speed and acceleration