🇳🇴 🇬🇧 🇩🇪 🇨🇿 🇫🇮

Meteor, poloha: Drammen 2020-02-27 22:52:10 UTC

Soubor KML  |  InteraktivnĂ­ mapa

Mapa zobrazuje dráhy meteoru. Světlejší čáry ukazují směry od pozorovacích stanic při objevení se meteoru a tmavší čáry, kde byl naposledy viděn. Modrá šipka značí viditelnou dráhu meteoru.

static map
height profile
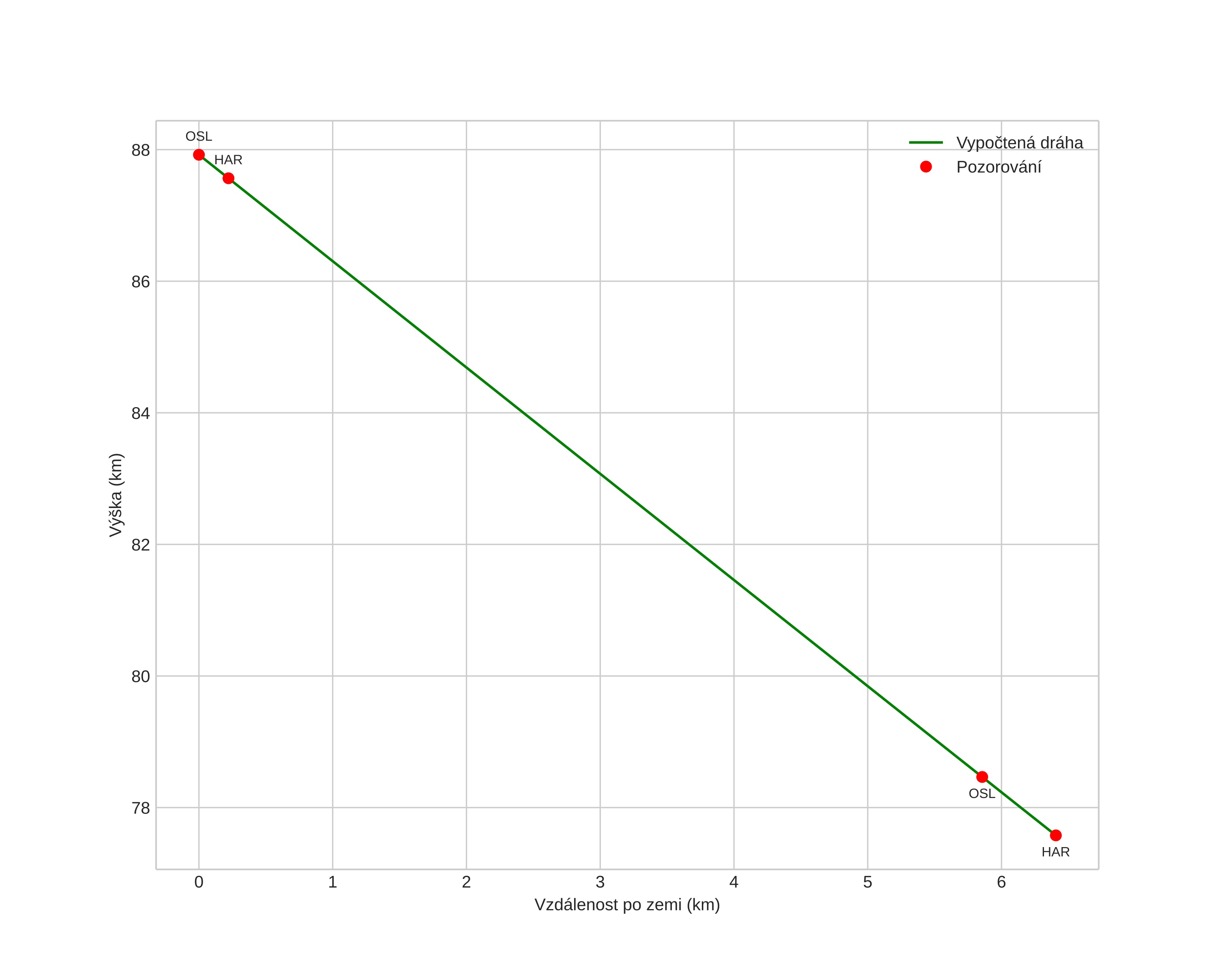
Atmosférická dráha meteoru:
Počáteční výška: 87,9 km
Konečná výška: 77,6 km
Počáteční poloha: 59,752N 10,135E
Konečná poloha: 59,694N 10,130E
Směr: 182,4°
Sklon: 58,1°
VstupnĂ­ rychlost: 15,8 km/s
Rektascenze radiantu: 21:47 (326,9°)
Deklinace radiantu: 82,9°
MeteorickĂ˝ roj: sporadickĂ˝
Elementy dráhy meteoroidu:
Vzdálenost v periheliu: 0,990 AU
Excentricita: 0,415
Sklon dráhy: 17,3°
Délka vzestupného uzlu: 338,5°
Argument perihelia: 179,4°
Střední anomálie: 0,2°
Epocha: 2020 FEB 27 22:52:10
orbit plot

NeinteraktivnĂ­ graf | InteraktivnĂ­ graf

position vs time
speed and acceleration