🇳🇴 🇬🇧 🇩🇪 🇨🇿 🇫🇮

Meteor, poloha: Hvide Sande 2020-03-28 23:59:56 UTC

Soubor KML  |  InteraktivnĂ­ mapa

Mapa zobrazuje dráhy meteoru. Světlejší čáry ukazují směry od pozorovacích stanic při objevení se meteoru a tmavší čáry, kde byl naposledy viděn. Modrá šipka značí viditelnou dráhu meteoru.

static map
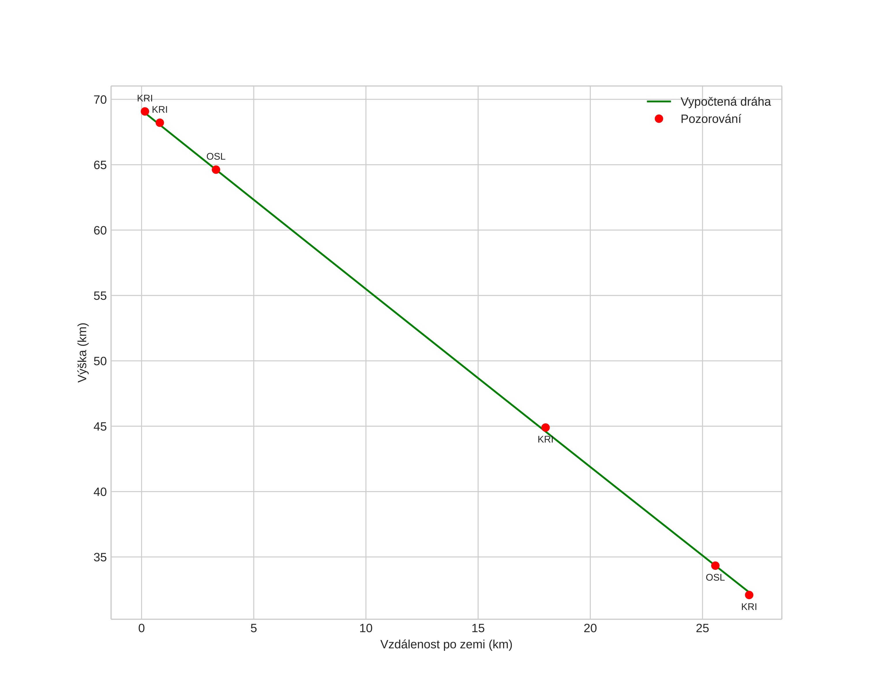
height profile
Atmosférická dráha meteoru:
Počáteční výška: 73,8 km
Konečná výška: 33,4 km
Počáteční poloha: 56,000N 6,837E
Konečná poloha: 56,131N 7,250E
Směr: 60,1°
Sklon: 53,8°
VstupnĂ­ rychlost: 15,1 km/s
Rektascenze radiantu: 10:06 (151,7°)
Deklinace radiantu: 24,1°
MeteorickĂ˝ roj: sporadickĂ˝
Elementy dráhy meteoroidu:
Vzdálenost v periheliu: 0,953 AU
Excentricita: 0,609
Sklon dráhy: 3,3°
Délka vzestupného uzlu: 8,5°
Argument perihelia: 208,4°
Střední anomálie: 354,3°
Epocha: 2020 MAR 28 23:59:56
orbit plot

NeinteraktivnĂ­ graf | InteraktivnĂ­ graf

position vs time
speed and acceleration