🇳🇴 🇬🇧 🇩🇪 🇨🇿 🇫🇮

Meteor, poloha: Drammen 2020-03-29 00:50:03 UTC

Soubor KML  |  InteraktivnĂ­ mapa

Mapa zobrazuje dráhy meteoru. Světlejší čáry ukazují směry od pozorovacích stanic při objevení se meteoru a tmavší čáry, kde byl naposledy viděn. Modrá šipka značí viditelnou dráhu meteoru.

static map
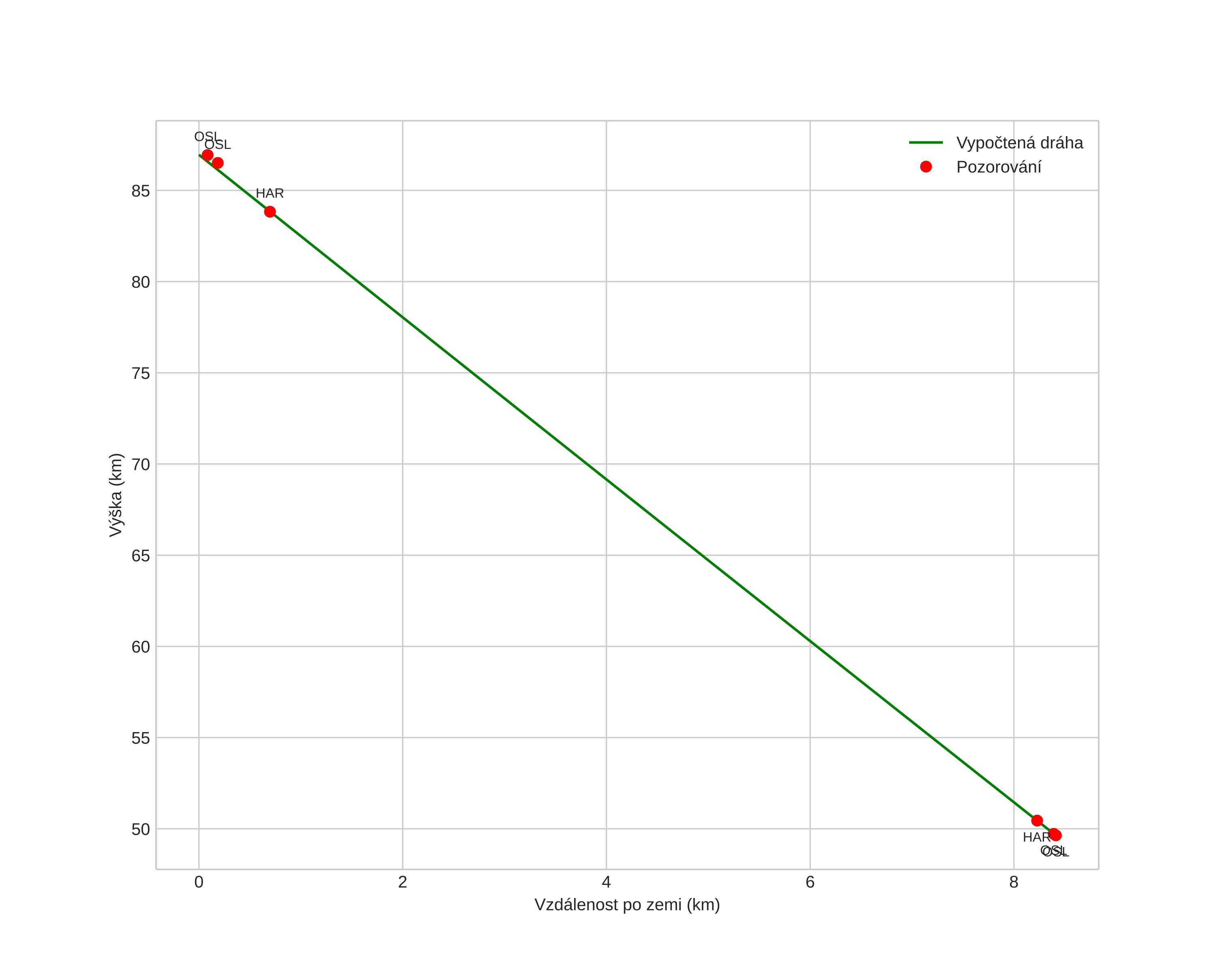
height profile
Atmosférická dráha meteoru:
Počáteční výška: 82,8 km
Konečná výška: 41,2 km
Počáteční poloha: 59,692N 9,978E
Konečná poloha: 59,714N 10,166E
Směr: 77,0°
Sklon: 75,4°
VstupnĂ­ rychlost: 19,3 km/s
Rektascenze radiantu: 12:05 (181,5°)
Deklinace radiantu: 52,7°
MeteorickĂ˝ roj: sporadickĂ˝
Elementy dráhy meteoroidu:
Vzdálenost v periheliu: 0,943 AU
Excentricita: 0,709
Sklon dráhy: 18,0°
Délka vzestupného uzlu: 8,5°
Argument perihelia: 210,1°
Střední anomálie: 356,2°
Epocha: 2020 MAR 29 00:50:03
orbit plot

NeinteraktivnĂ­ graf | InteraktivnĂ­ graf

position vs time
speed and acceleration