🇳🇴 🇬🇧 🇩🇪 🇨🇿 🇫🇮

Meteor, poloha: Røst 2020-04-01 23:07:38 UTC

Soubor KML  |  InteraktivnĂ­ mapa

Mapa zobrazuje dráhy meteoru. Světlejší čáry ukazují směry od pozorovacích stanic při objevení se meteoru a tmavší čáry, kde byl naposledy viděn. Modrá šipka značí viditelnou dráhu meteoru.

static map
height profile
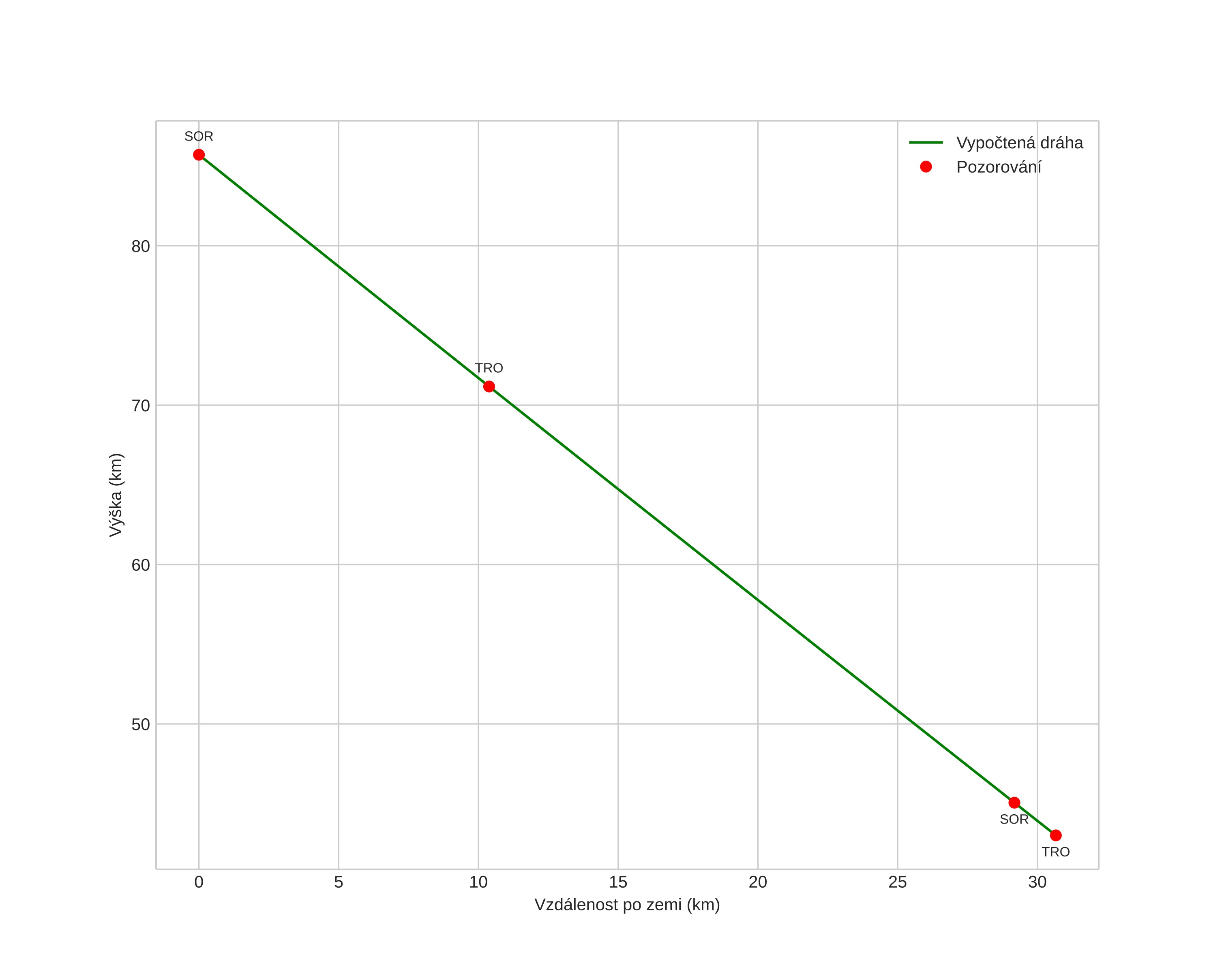
Atmosférická dráha meteoru:
Počáteční výška: 83,7 km
Konečná výška: 41,2 km
Počáteční poloha: 67,231N 9,900E
Konečná poloha: 67,439N 9,375E
Směr: 316,1°
Sklon: 52,8°
VstupnĂ­ rychlost: 24,7 km/s
Rektascenze radiantu: 14:32 (218,2°)
Deklinace radiantu: 32,5°
MeteorickĂ˝ roj: sporadickĂ˝
Elementy dráhy meteoroidu:
Vzdálenost v periheliu: 0,717 AU
Excentricita: 0,537
Sklon dráhy: 29,4°
Délka vzestupného uzlu: 12,4°
Argument perihelia: 259,0°
Střední anomálie: 334,5°
Epocha: 2020 APR 01 23:07:38
orbit plot

NeinteraktivnĂ­ graf | InteraktivnĂ­ graf

position vs time
speed and acceleration