🇳🇴 🇬🇧 🇩🇪 🇨🇿 🇫🇮

Meteor über Farsund 2020-04-07 23:55:41 UTC

Harestua – 4
Harestua – 4
Kristiansand – 1
Kristiansand – 1
Kristiansand – 2
Kristiansand – 2
Voksenlia – 1
Voksenlia – 1

KML-Datei  | Interaktive Karte

map

Die Karte zeigt die Peilungen für den Meteor. Die helleren Linien zeigen die Richtungen von den Beobachtungsorten beim Erscheinen des Meteors, und die dunkleren Linien, wo er zuletzt gesehen wurde. Der blaue Pfeil zeigt die sichtbare Bahn des Meteors.

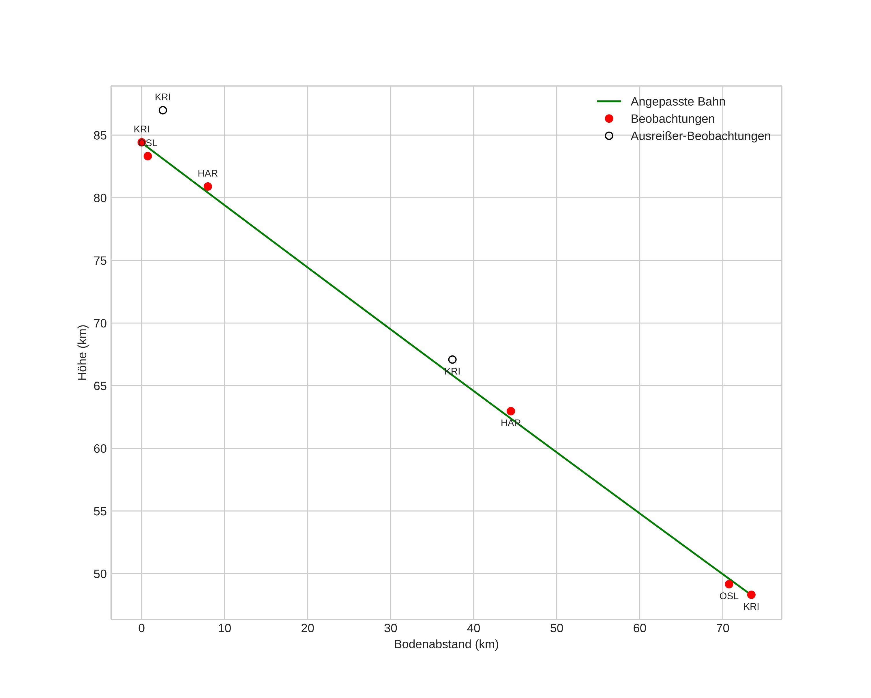
height profile
Atmosphärische Bahn des Meteors:
Anfangshöhe: 83,1 km
Endhöhe: 47,3 km
Startposition: 56,818N 7,359E
Endposition: 57,432N 6,885E
Richtung: 337,5°
Neigungswinkel: 25,8°
Eintrittsgeschwindigkeit: 34,4 km/s
Rektaszension des Radianten: 14:51 (222,9°)
Deklination des Radianten: -7,1°
Meteorstrom: sporadisch
Bahnelemente des Meteoroiden:
Periheldistanz: 0,180 AU
Exzentrizität: 0,869
Inklination: 17,0°
Länge des aufsteigenden Knotens: 18,3°
Argument des Perihels: 319,8°
Mittlere Anomalie: 335,5°
Epoche: 2020 APR 07 23:55:41
orbit

Nicht-interaktives Diagramm | Interaktives Diagramm

position vs time
speed & acceleration