🇳🇴 🇬🇧 🇩🇪 🇨🇿 🇫🇮

Meteor, poloha: Otta 2020-04-12 20:19:10 UTC

Soubor KML  |  InteraktivnĂ­ mapa

Mapa zobrazuje dráhy meteoru. Světlejší čáry ukazují směry od pozorovacích stanic při objevení se meteoru a tmavší čáry, kde byl naposledy viděn. Modrá šipka značí viditelnou dráhu meteoru.

static map
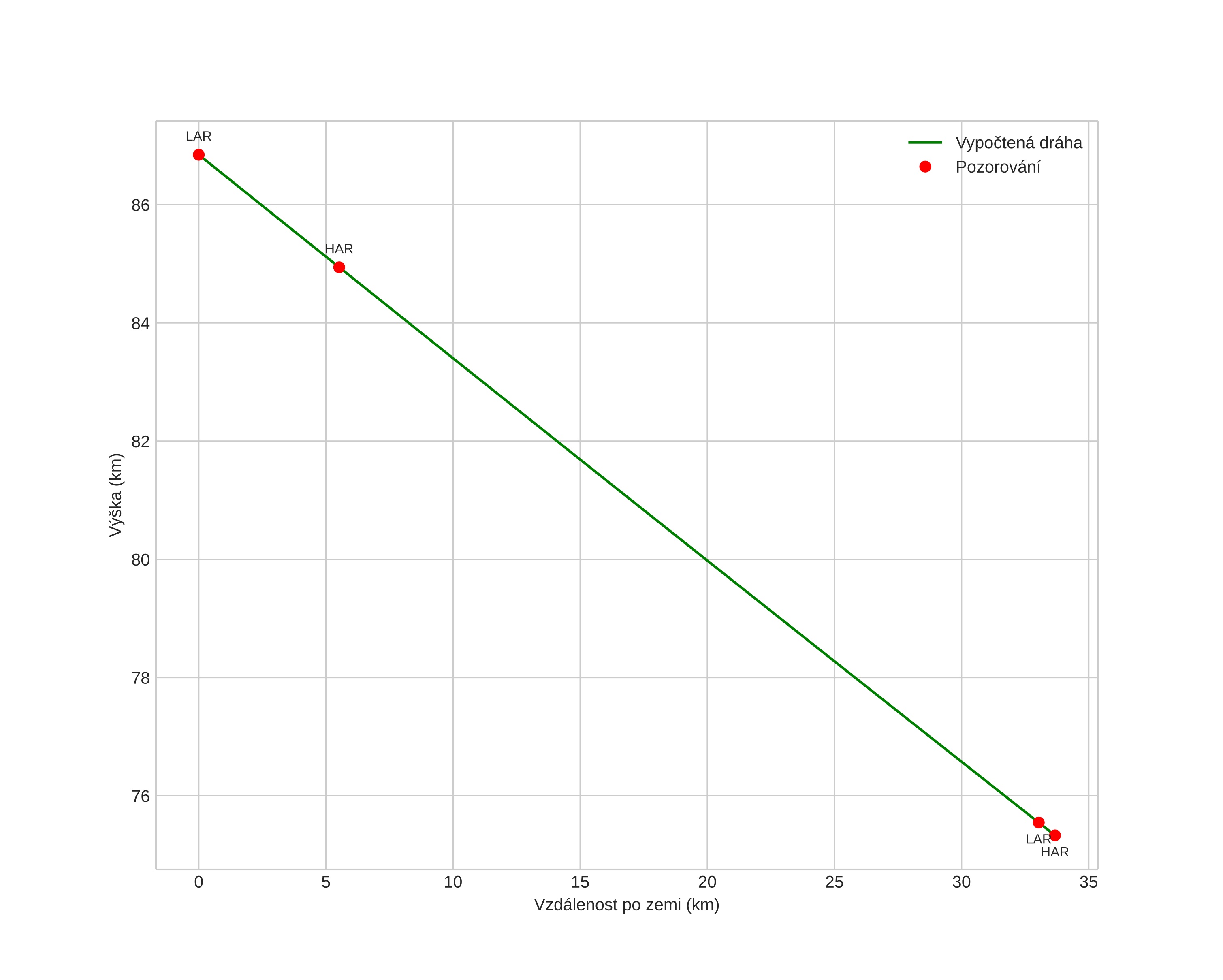
height profile
Atmosférická dráha meteoru:
Počáteční výška: 88,0 km
Konečná výška: 78,4 km
Počáteční poloha: 61,325N 9,523E
Konečná poloha: 61,636N 9,483E
Směr: 356,6°
Sklon: 15,5°
VstupnĂ­ rychlost: 18,1 km/s
Rektascenze radiantu: 10:33 (158,4°)
Deklinace radiantu: -23,3°
MeteorickĂ˝ roj: sporadickĂ˝
Elementy dráhy meteoroidu:
Vzdálenost v periheliu: 0,922 AU
Excentricita: 0,696
Sklon dráhy: 11,0°
Délka vzestupného uzlu: 203,1°
Argument perihelia: 36,4°
Střední anomálie: 355,0°
Epocha: 2020 APR 12 20:19:10
orbit plot

NeinteraktivnĂ­ graf | InteraktivnĂ­ graf

position vs time
speed and acceleration