🇳🇴 🇬🇧 🇩🇪 🇨🇿 🇫🇮

Meteor Noresundin yllä 2020-04-16 01:55:12 UTC

KML-tiedosto  |  Interaktiivinen kartta

Kartta näyttää meteorin suuntahavainnot. Vaaleammat viivat näyttävät suunnat havaintoasemilta meteorin ilmestyessä, ja tummemmat viivat näyttävät, missä se viimeksi nähtiin. Sininen nuoli näyttää meteorin näkyvän lennon.

static map
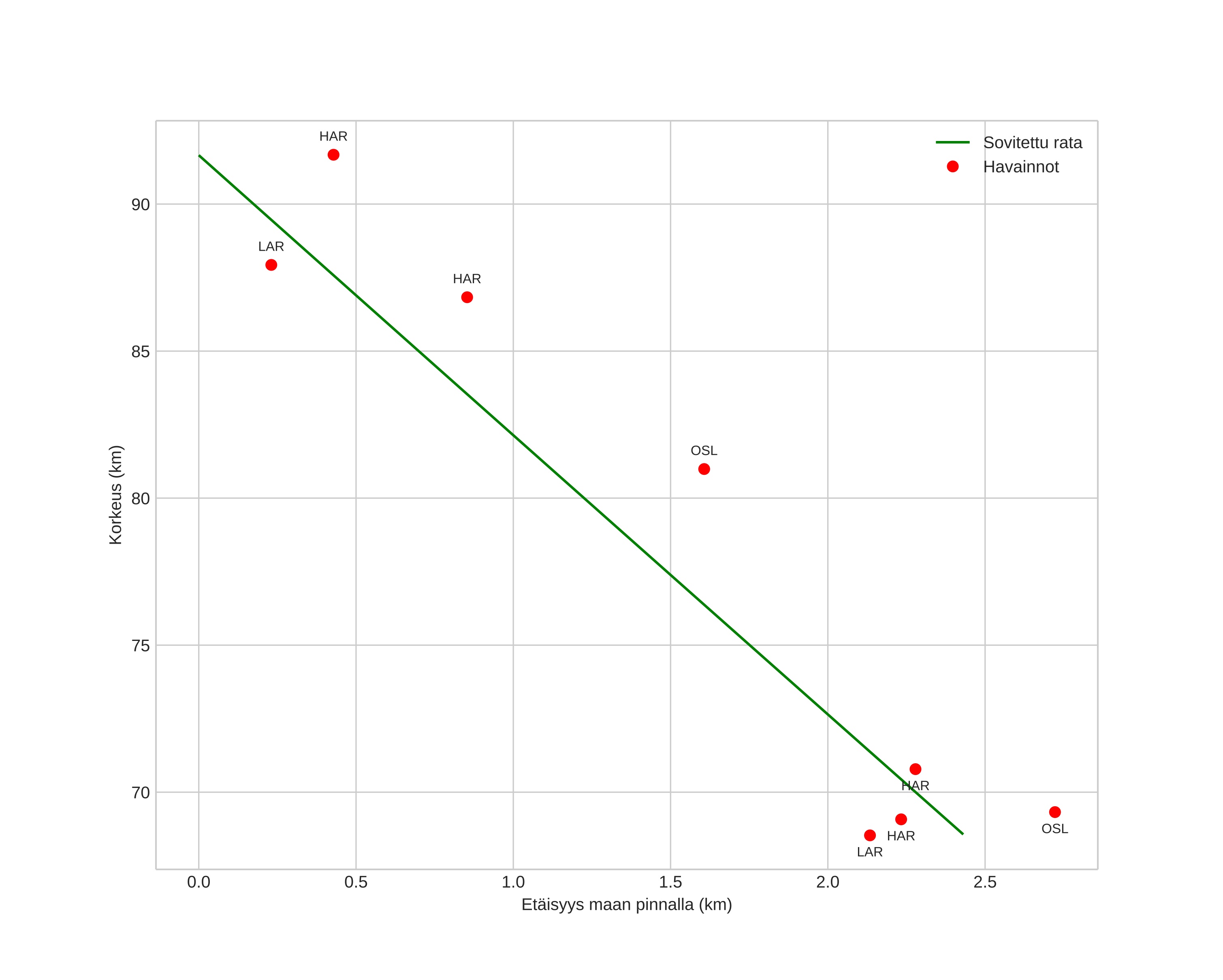
height profile
Meteorin ilmakehärata:
Alkukorkeus: 88,7 km
Loppukorkeus: 68,5 km
Alkupiste: 60,257N 9,869E
Loppupiste: 60,250N 9,834E
Suunta: 249,9°
Kallistuskulma: 84,1°
Tulonopeus: 28,9 km/s
Radiantin R,A,: 16:58 (254,5°)
Radiantin Dekl,: 61,8°
Meteoriparvi: Sporadinen
Meteoroidin rataelementit:
Perihelietäisyys: 0,996 AU
Eksentrisyys: 0,786
Inklinaatio: 41,7°
Nousevan solmun pituus: 26,3°
Perihelin argumentti: 190,8°
Keskianomalia: 359,2°
Epookki: 2020 APR 16 01:55:12
orbit plot

Ei-interaktiivinen kuvaaja | Interaktiivinen kuvaaja

position vs time
speed and acceleration