🇳🇴 🇬🇧 🇩🇪 🇨🇿 🇫🇮

Meteor, poloha: Vinstra 2020-04-18 21:35:57 UTC

Soubor KML  |  InteraktivnĂ­ mapa

Mapa zobrazuje dráhy meteoru. Světlejší čáry ukazují směry od pozorovacích stanic při objevení se meteoru a tmavší čáry, kde byl naposledy viděn. Modrá šipka značí viditelnou dráhu meteoru.

static map
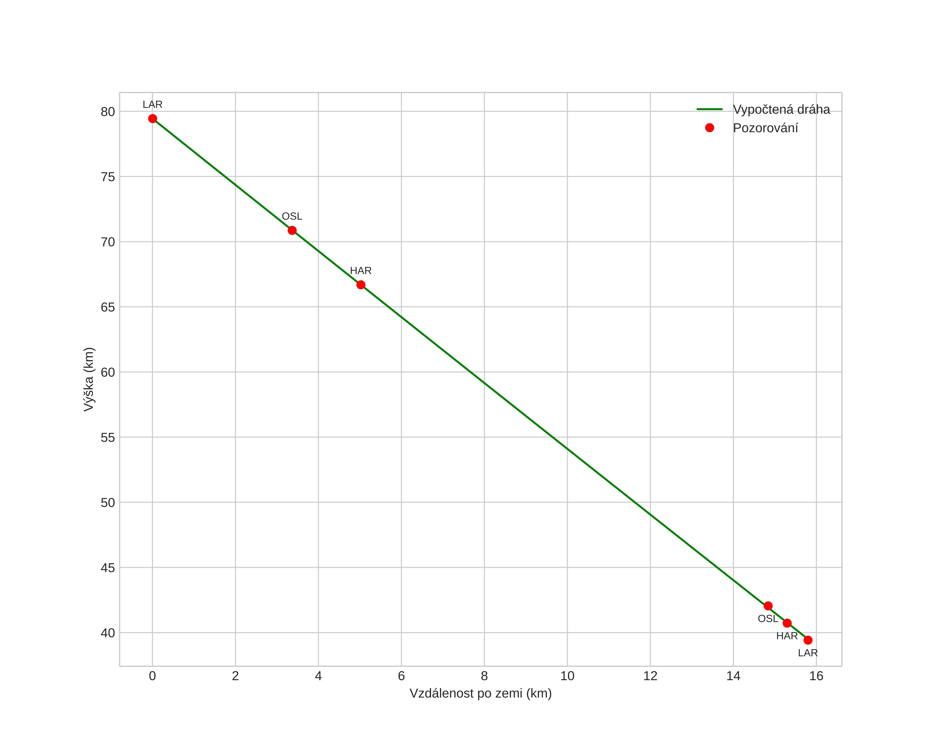
height profile
Atmosférická dráha meteoru:
Počáteční výška: 79,1 km
Konečná výška: 39,5 km
Počáteční poloha: 61,158N 9,757E
Konečná poloha: 61,286N 9,592E
Směr: 328,4°
Sklon: 67,0°
VstupnĂ­ rychlost: 18,0 km/s
Rektascenze radiantu: 13:06 (196,6°)
Deklinace radiantu: 37,7°
MeteorickĂ˝ roj: sporadickĂ˝
Elementy dráhy meteoroidu:
Vzdálenost v periheliu: 0,935 AU
Excentricita: 0,615
Sklon dráhy: 14,5°
Délka vzestupného uzlu: 29,0°
Argument perihelia: 215,1°
Střední anomálie: 353,1°
Epocha: 2020 APR 18 21:35:57
orbit plot

NeinteraktivnĂ­ graf | InteraktivnĂ­ graf

position vs time
speed and acceleration