🇳🇴 🇬🇧 🇩🇪 🇨🇿 🇫🇮

Meteor, poloha: Rødberg 2020-04-20 00:36:51 UTC

Soubor KML  |  InteraktivnĂ­ mapa

Mapa zobrazuje dráhy meteoru. Světlejší čáry ukazují směry od pozorovacích stanic při objevení se meteoru a tmavší čáry, kde byl naposledy viděn. Modrá šipka značí viditelnou dráhu meteoru.

static map
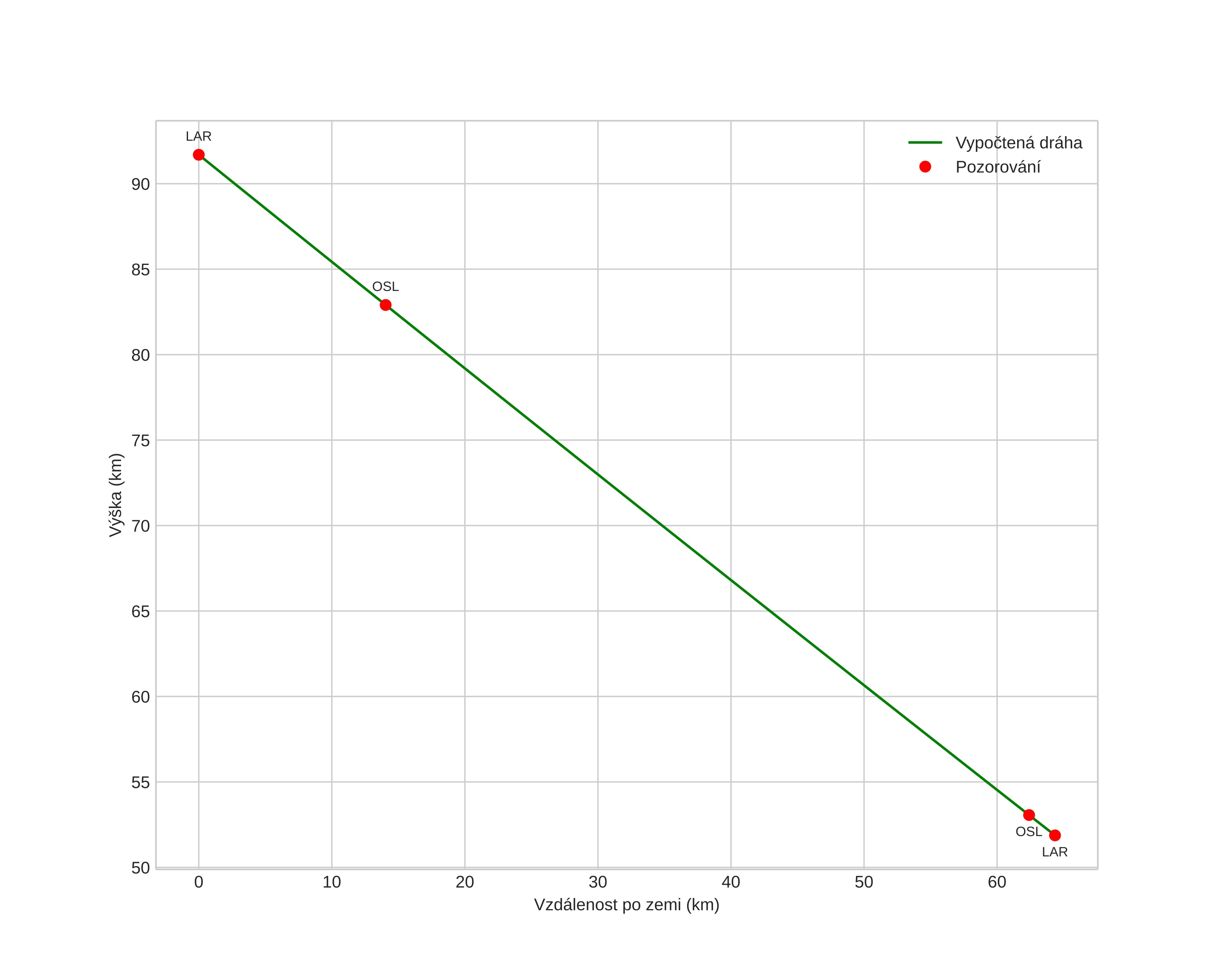
height profile
Atmosférická dráha meteoru:
Počáteční výška: 95,5 km
Konečná výška: 52,1 km
Počáteční poloha: 59,346N 8,671E
Konečná poloha: 59,959N 8,923E
Směr: 11,6°
Sklon: 31,9°
VstupnĂ­ rychlost: 31,0 km/s
Rektascenze radiantu: 14:22 (215,6°)
Deklinace radiantu: -0,3°
MeteorickĂ˝ roj: sporadickĂ˝
Elementy dráhy meteoroidu:
Vzdálenost v periheliu: 0,495 AU
Excentricita: 0,906
Sklon dráhy: 13,2°
Délka vzestupného uzlu: 30,1°
Argument perihelia: 273,9°
Střední anomálie: 356,6°
Epocha: 2020 APR 20 00:36:51
orbit plot

NeinteraktivnĂ­ graf | InteraktivnĂ­ graf

position vs time
speed and acceleration