🇳🇴 🇬🇧 🇩🇪 🇨🇿 🇫🇮

Meteor, poloha: Rjukan 2020-04-20 00:36:52 UTC

Soubor KML  |  InteraktivnĂ­ mapa

Mapa zobrazuje dráhy meteoru. Světlejší čáry ukazují směry od pozorovacích stanic při objevení se meteoru a tmavší čáry, kde byl naposledy viděn. Modrá šipka značí viditelnou dráhu meteoru.

static map
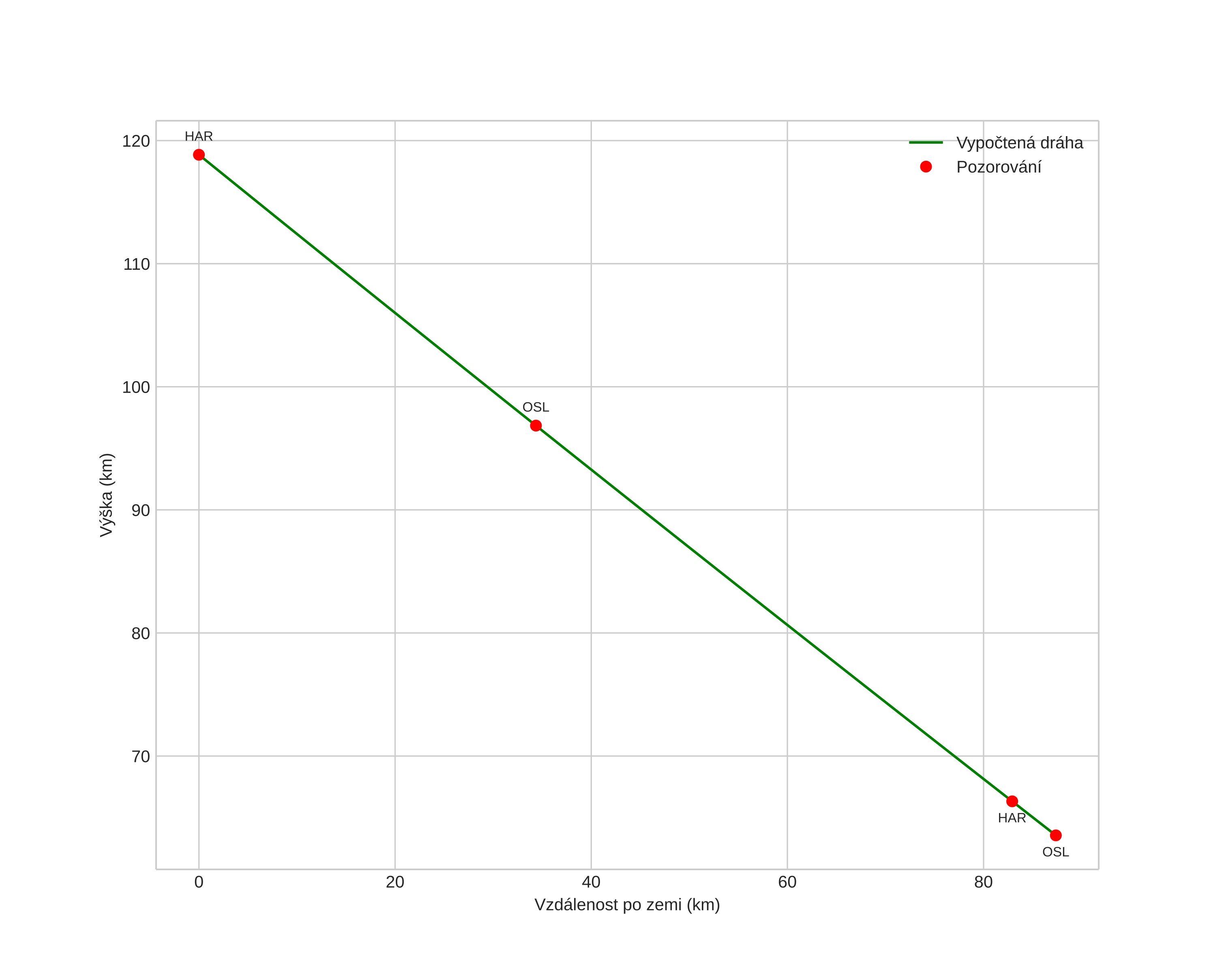
height profile
Atmosférická dráha meteoru:
Počáteční výška: 120,9 km
Konečná výška: 58,6 km
Počáteční poloha: 59,159N 8,151E
Konečná poloha: 59,947N 8,770E
Směr: 21,4°
Sklon: 33,4°
VstupnĂ­ rychlost: 61,3 km/s
Rektascenze radiantu: 13:50 (207,5°)
Deklinace radiantu: 3,8°
MeteorickĂ˝ roj: sporadickĂ˝
Elementy dráhy meteoroidu:
Vzdálenost v periheliu: 0,470 AU
Excentricita: 2,627
Sklon dráhy: 22,5°
Délka vzestupného uzlu: 30,1°
Argument perihelia: 254,6°
Střední anomálie: -143,2°
Epocha: 2020 APR 20 00:36:52
orbit plot

NeinteraktivnĂ­ graf | InteraktivnĂ­ graf

position vs time
speed and acceleration