🇳🇴 🇬🇧 🇩🇪 🇨🇿 🇫🇮

Meteor, poloha: Hvide Sande 2020-04-22 21:37:51 UTC

Soubor KML  |  InteraktivnĂ­ mapa

Mapa zobrazuje dráhy meteoru. Světlejší čáry ukazují směry od pozorovacích stanic při objevení se meteoru a tmavší čáry, kde byl naposledy viděn. Modrá šipka značí viditelnou dráhu meteoru.

static map
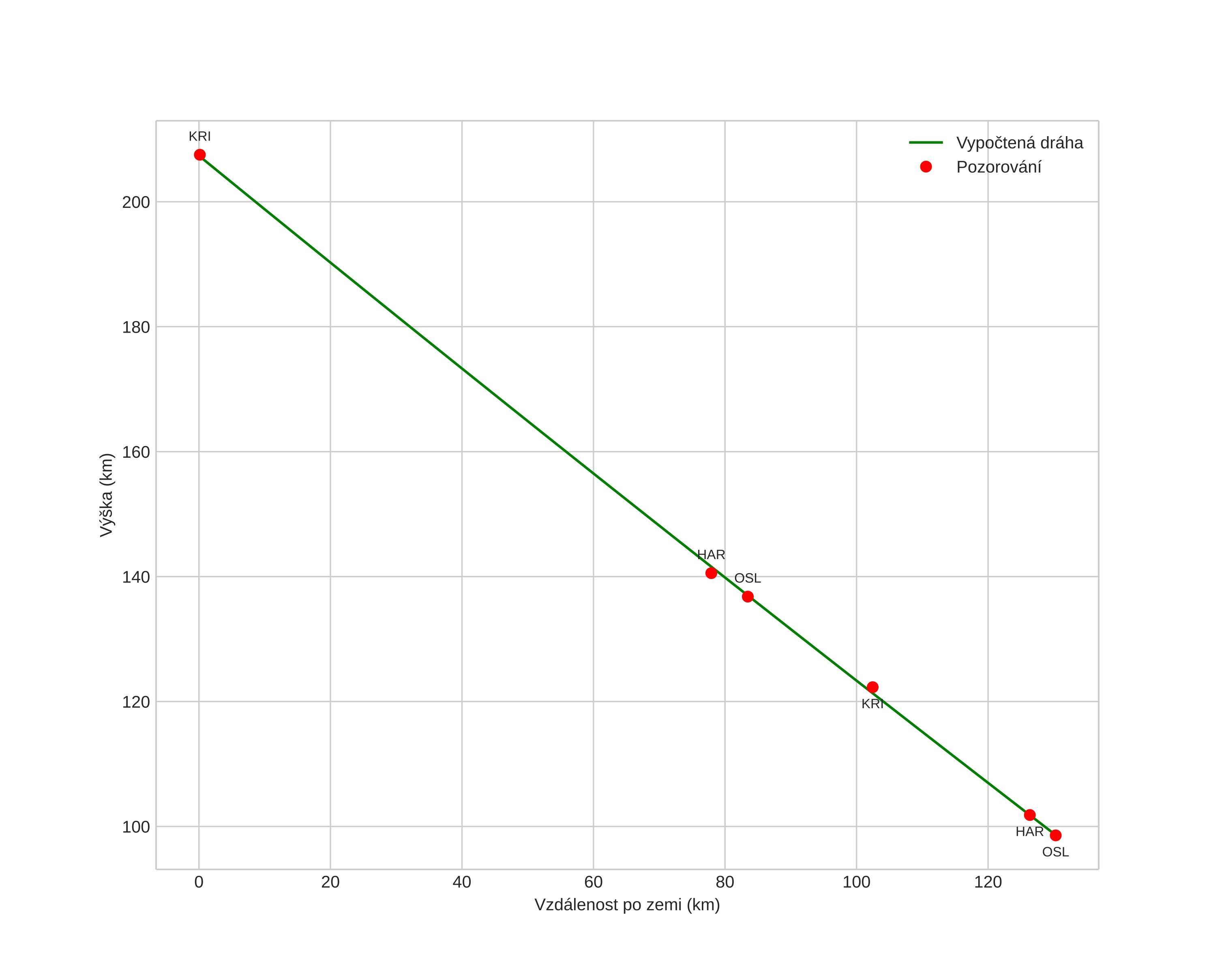
height profile
Atmosférická dráha meteoru:
Počáteční výška: 102,6 km
Konečná výška: 79,8 km
Počáteční poloha: 56,732N 8,508E
Konečná poloha: 56,300N 7,435E
Směr: 234,3°
Sklon: 15,6°
VstupnĂ­ rychlost: 56,4 km/s
Rektascenze radiantu: 19:48 (297,1°)
Deklinace radiantu: 31,6°
MeteorickĂ˝ roj: sporadickĂ˝
Elementy dráhy meteoroidu:
Vzdálenost v periheliu: 0,998 AU
Excentricita: 1,144
Sklon dráhy: 96,0°
Délka vzestupného uzlu: 32,9°
Argument perihelia: 170,6°
Střední anomálie: 0,4°
Epocha: 2020 APR 22 21:37:51
orbit plot

NeinteraktivnĂ­ graf | InteraktivnĂ­ graf

position vs time
speed and acceleration