🇳🇴 🇬🇧 🇩🇪 🇨🇿 🇫🇮

Meteor, poloha: Sunne 2020-05-03 00:11:44 UTC

Soubor KML  |  Interaktivní mapa

Mapa zobrazuje dráhy meteoru. Světlejší čáry ukazují směry od pozorovacích stanic při objevení se meteoru a tmavší čáry, kde byl naposledy viděn. Modrá šipka značí viditelnou dráhu meteoru.

static map
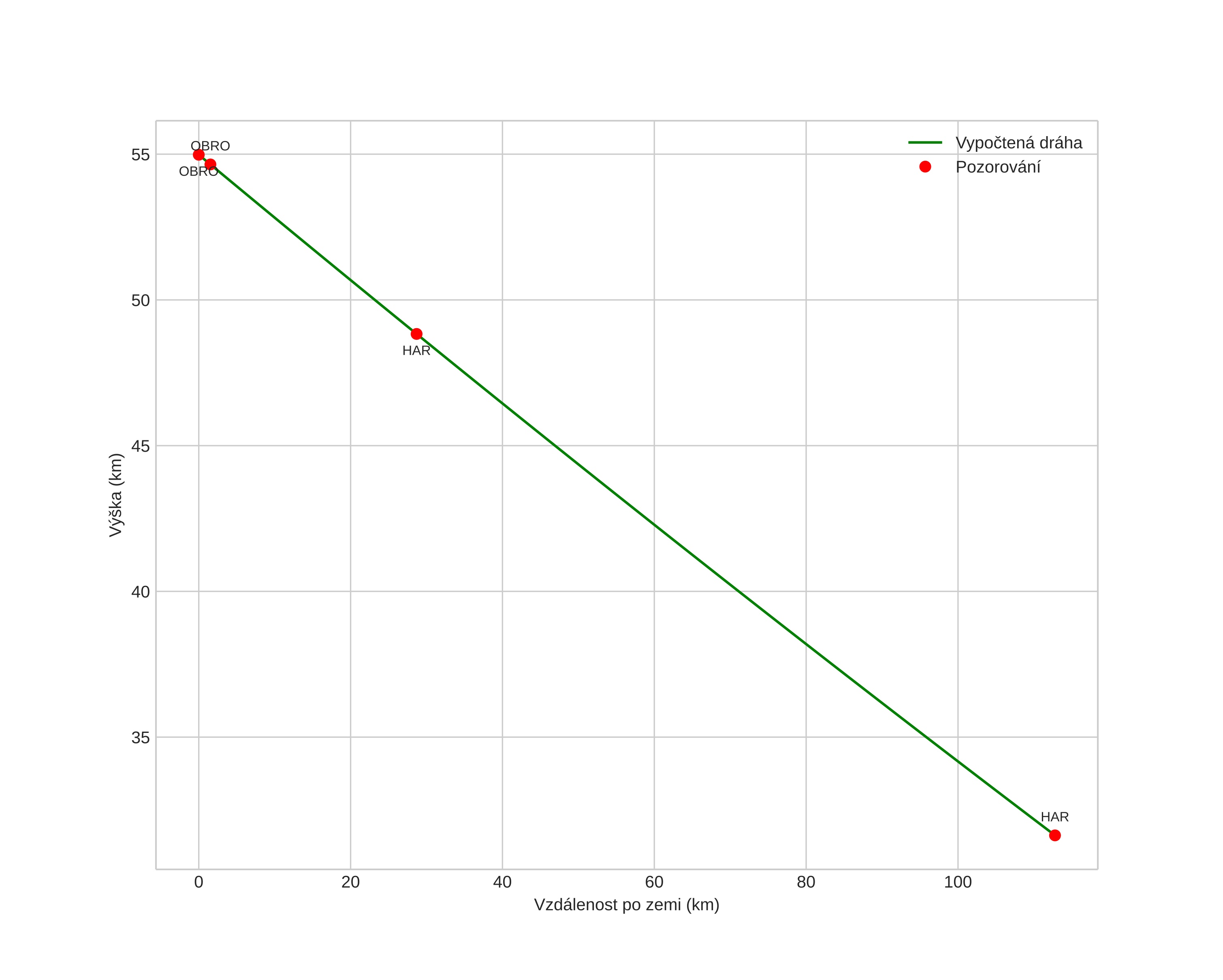
height profile
Atmosférická dráha meteoru:
Počáteční výška: 55,0 km
Konečná výška: 31,6 km
Počáteční poloha: 58,967N 12,340E
Konečná poloha: 59,895N 13,146E
Směr: 23,5°
Sklon: 11,7°
orbit plot
position vs time
speed and acceleration