🇳🇴 🇬🇧 🇩🇪 🇨🇿 🇫🇮

Meteor, poloha: Älvdalen 2020-05-04 21:02:16 UTC

Soubor KML  |  InteraktivnĂ­ mapa

Mapa zobrazuje dráhy meteoru. Světlejší čáry ukazují směry od pozorovacích stanic při objevení se meteoru a tmavší čáry, kde byl naposledy viděn. Modrá šipka značí viditelnou dráhu meteoru.

static map
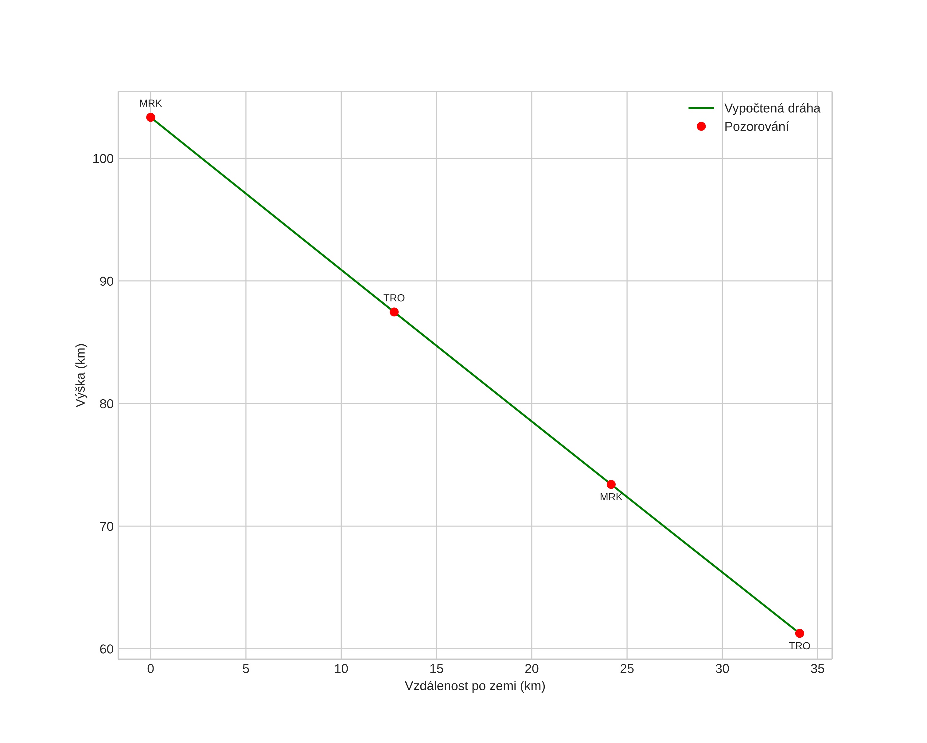
height profile
Atmosférická dráha meteoru:
Počáteční výška: 115,0 km
Konečná výška: 63,6 km
Počáteční poloha: 61,610N 14,569E
Konečná poloha: 61,260N 14,332E
Směr: 198,0°
Sklon: 51,5°
VstupnĂ­ rychlost: 32,0 km/s
Rektascenze radiantu: 21:38 (324,5°)
Deklinace radiantu: 75,2°
MeteorickĂ˝ roj: sporadickĂ˝
Elementy dráhy meteoroidu:
Vzdálenost v periheliu: 0,954 AU
Excentricita: 1,077
Sklon dráhy: 43,0°
Délka vzestupného uzlu: 44,6°
Argument perihelia: 153,7°
Střední anomálie: 0,4°
Epocha: 2020 MAY 04 21:02:16
orbit plot

NeinteraktivnĂ­ graf | InteraktivnĂ­ graf

position vs time
speed and acceleration