🇳🇴 🇬🇧 🇩🇪 🇨🇿 🇫🇮

Meteor, poloha: Neskollen 2020-05-15 23:11:28 UTC

Soubor KML  |  InteraktivnĂ­ mapa

Mapa zobrazuje dráhy meteoru. Světlejší čáry ukazují směry od pozorovacích stanic při objevení se meteoru a tmavší čáry, kde byl naposledy viděn. Modrá šipka značí viditelnou dráhu meteoru.

static map
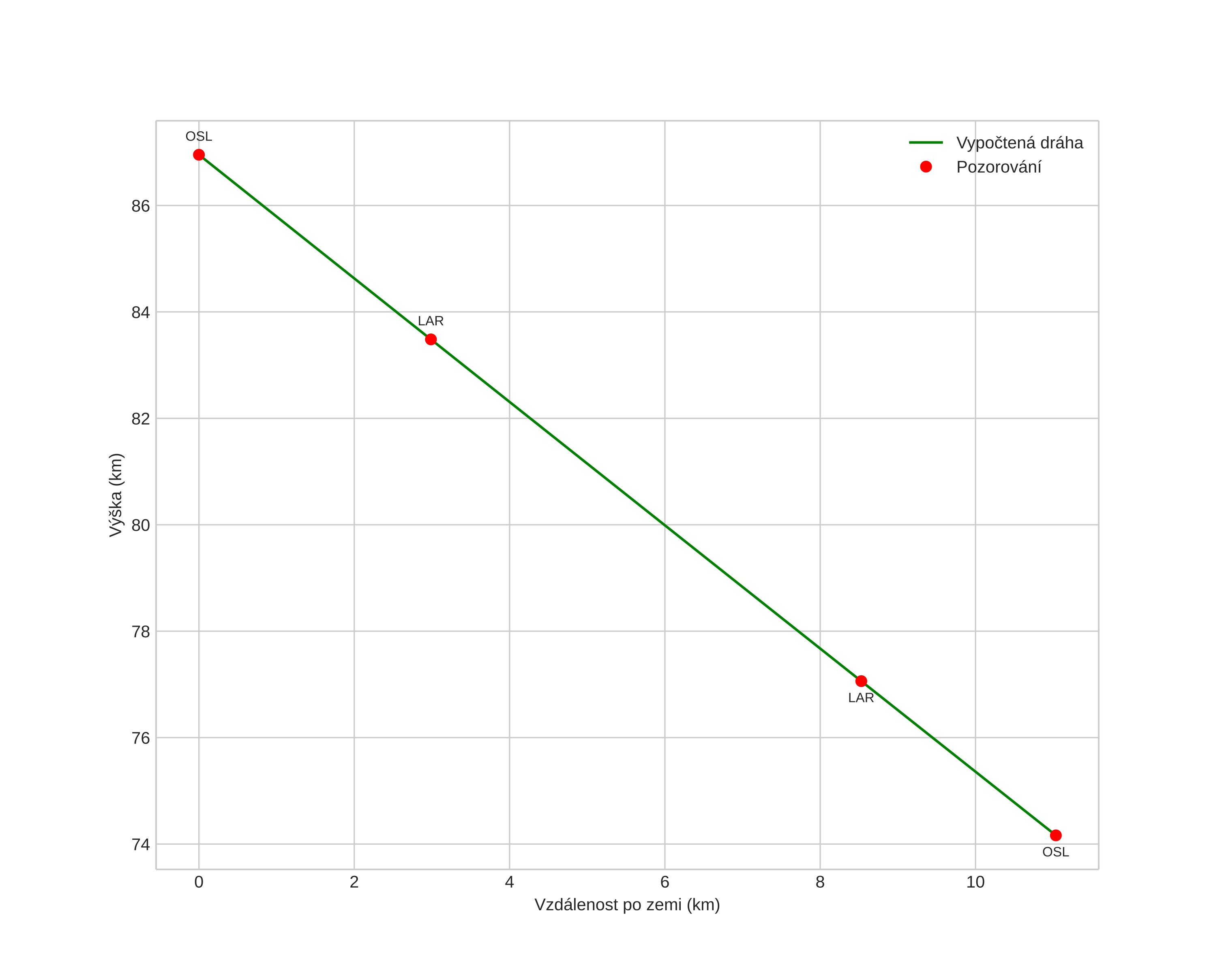
height profile
Atmosférická dráha meteoru:
Počáteční výška: 86,1 km
Konečná výška: 75,9 km
Počáteční poloha: 60,166N 11,189E
Konečná poloha: 60,121N 11,334E
Směr: 121,9°
Sklon: 47,1°
VstupnĂ­ rychlost: 14,1 km/s
Rektascenze radiantu: 09:08 (137,2°)
Deklinace radiantu: 46,1°
MeteorickĂ˝ roj: sporadickĂ˝
Elementy dráhy meteoroidu:
Vzdálenost v periheliu: 1,002 AU
Excentricita: 0,585
Sklon dráhy: 6,6°
Délka vzestupného uzlu: 55,3°
Argument perihelia: 167,1°
Střední anomálie: 2,7°
Epocha: 2020 MAY 15 23:11:28
orbit plot

NeinteraktivnĂ­ graf | InteraktivnĂ­ graf

position vs time
speed and acceleration