🇳🇴 🇬🇧 🇩🇪 🇨🇿 🇫🇮

Meteor, poloha: Tranby 2020-05-18 02:31:30 UTC

Soubor KML  |  InteraktivnĂ­ mapa

Mapa zobrazuje dráhy meteoru. Světlejší čáry ukazují směry od pozorovacích stanic při objevení se meteoru a tmavší čáry, kde byl naposledy viděn. Modrá šipka značí viditelnou dráhu meteoru.

static map
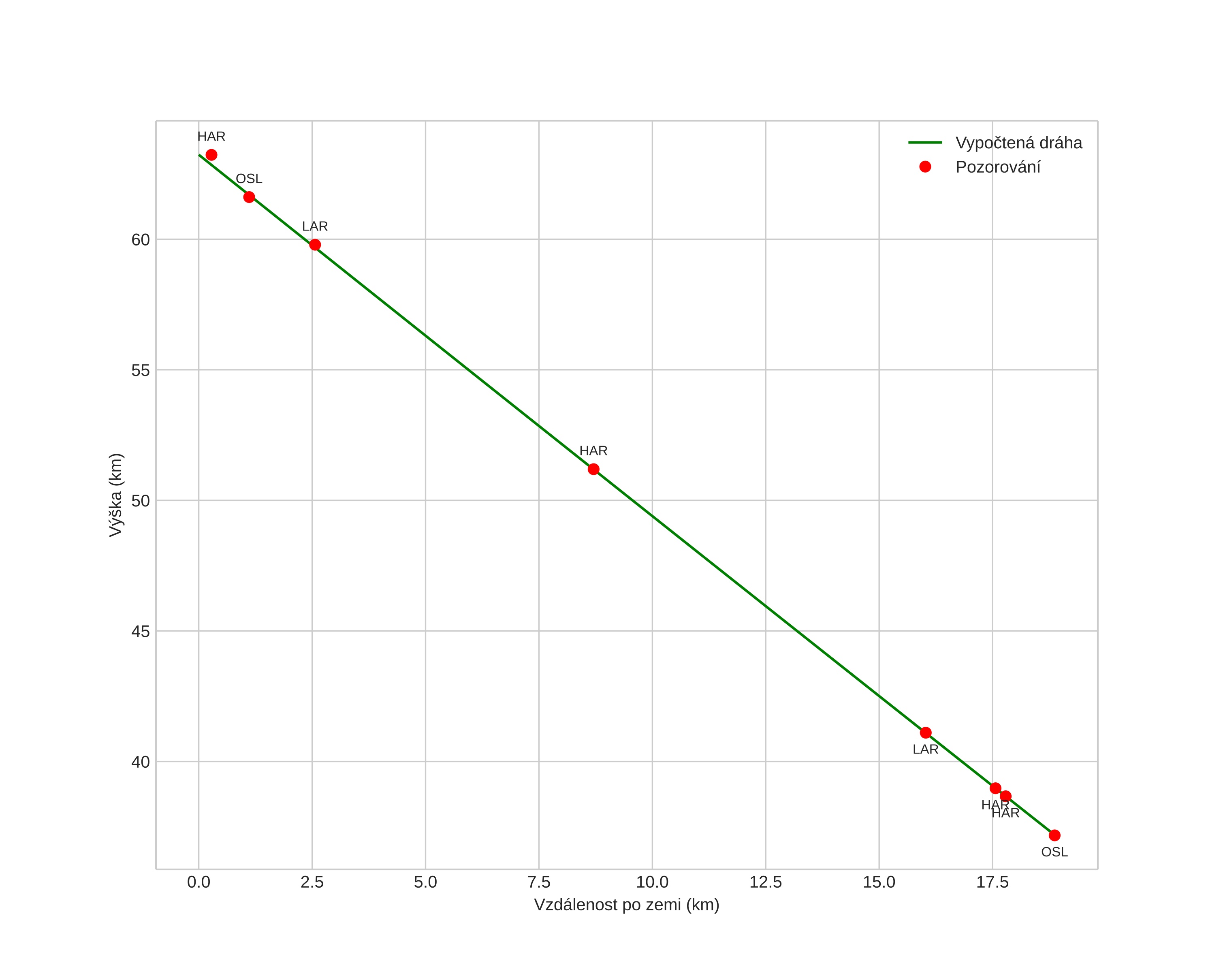
height profile
Atmosférická dráha meteoru:
Počáteční výška: 62,8 km
Konečná výška: 38,6 km
Počáteční poloha: 60,045N 10,444E
Konečná poloha: 59,933N 10,218E
Směr: 225,5°
Sklon: 53,9°
VstupnĂ­ rychlost: 19,8 km/s
Rektascenze radiantu: 00:57 (14,4°)
Deklinace radiantu: 63,5°
MeteorickĂ˝ roj: sporadickĂ˝
Elementy dráhy meteoroidu:
Vzdálenost v periheliu: 0,777 AU
Excentricita: 0,363
Sklon dráhy: 24,6°
Délka vzestupného uzlu: 57,4°
Argument perihelia: 97,3°
Střední anomálie: 43,8°
Epocha: 2020 MAY 18 02:31:30
orbit plot

NeinteraktivnĂ­ graf | InteraktivnĂ­ graf

position vs time
speed and acceleration