🇳🇴 🇬🇧 🇩🇪 🇨🇿 🇫🇮

Meteor Utsiran yllä 2020-06-01 22:57:59 UTC

KML-tiedosto  |  Interaktiivinen kartta

Kartta näyttää meteorin suuntahavainnot. Vaaleammat viivat näyttävät suunnat havaintoasemilta meteorin ilmestyessä, ja tummemmat viivat näyttävät, missä se viimeksi nähtiin. Sininen nuoli näyttää meteorin näkyvän lennon.

static map
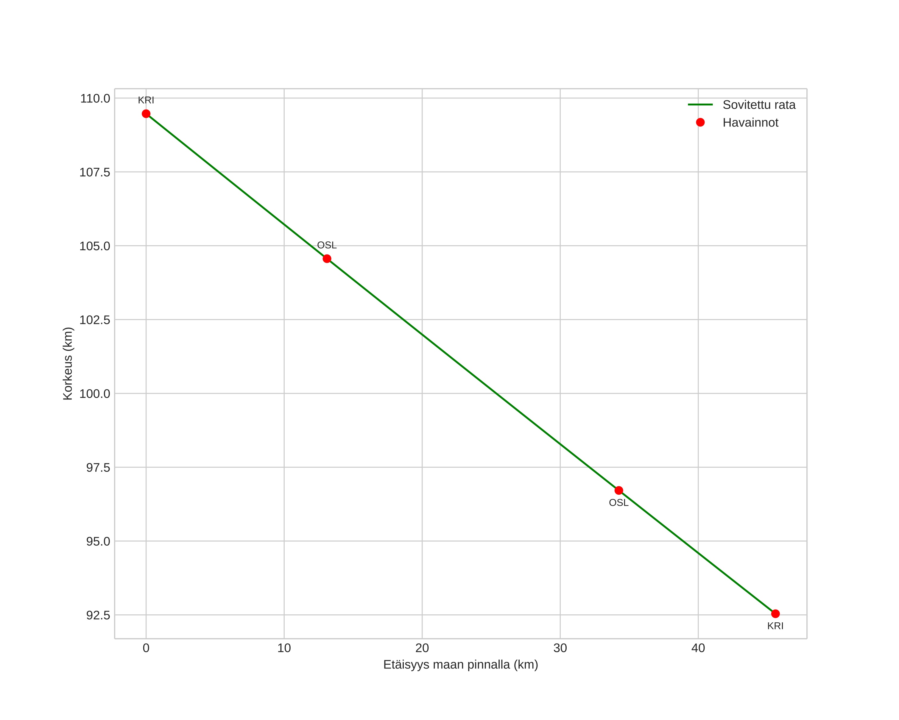
height profile
Meteorin ilmakehärata:
Alkukorkeus: 110,9 km
Loppukorkeus: 92,5 km
Alkupiste: 59,334N 5,609E
Loppupiste: 59,324N 4,772E
Suunta: 269,0°
Kallistuskulma: 21,2°
Tulonopeus: 60,7 km/s
Radiantin R,A,: 21:22 (320,6°)
Radiantin Dekl,: 18,0°
Meteoriparvi: Sporadinen
Meteoroidin rataelementit:
Perihelietäisyys: 0,927 AU
Eksentrisyys: 0,721
Inklinaatio: 123,0°
Nousevan solmun pituus: 71,6°
Perihelin argumentti: 217,4°
Keskianomalia: 355,5°
Epookki: 2020 JUN 01 22:57:59
orbit plot

Ei-interaktiivinen kuvaaja | Interaktiivinen kuvaaja

position vs time
speed and acceleration