🇳🇴 🇬🇧 🇩🇪 🇨🇿 🇫🇮

Meteor, poloha: Noresund 2020-07-30 22:52:28 UTC

Soubor KML  |  InteraktivnĂ­ mapa

Mapa zobrazuje dráhy meteoru. Světlejší čáry ukazují směry od pozorovacích stanic při objevení se meteoru a tmavší čáry, kde byl naposledy viděn. Modrá šipka značí viditelnou dráhu meteoru.

static map
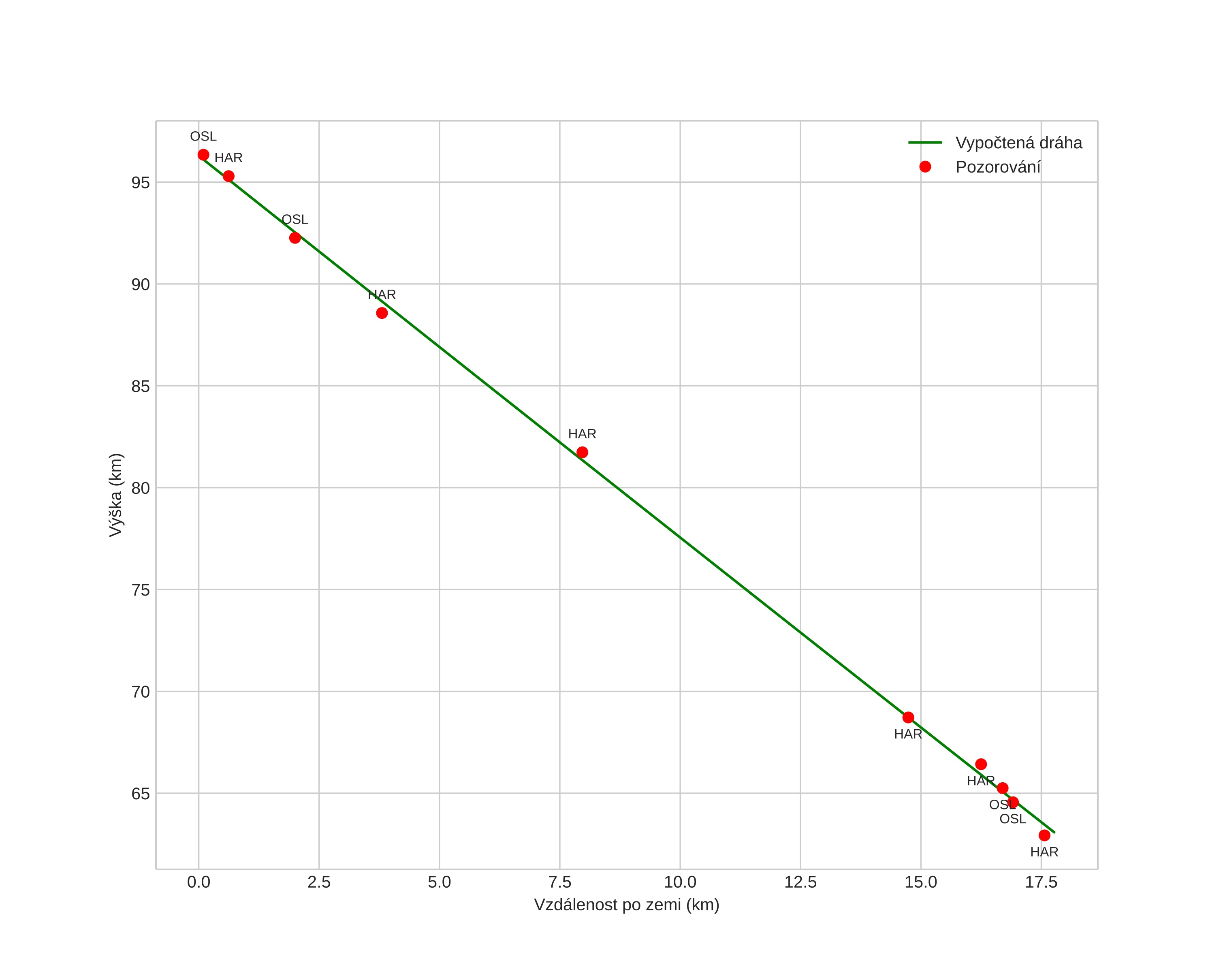
height profile
Atmosférická dráha meteoru:
Počáteční výška: 101,9 km
Konečná výška: 64,6 km
Počáteční poloha: 60,517N 9,949E
Konečná poloha: 60,338N 9,910E
Směr: 186,2°
Sklon: 61,7°
VstupnĂ­ rychlost: 41,9 km/s
Rektascenze radiantu: 00:51 (12,8°)
Deklinace radiantu: 87,1°
MeteorickĂ˝ roj: sporadickĂ˝
Elementy dráhy meteoroidu:
Vzdálenost v periheliu: 0,942 AU
Excentricita: 1,055
Sklon dráhy: 64,4°
Délka vzestupného uzlu: 127,9°
Argument perihelia: 149,3°
Střední anomálie: 0,3°
Epocha: 2020 JUL 30 22:52:28
orbit plot

NeinteraktivnĂ­ graf | InteraktivnĂ­ graf

position vs time
speed and acceleration