🇳🇴 🇬🇧 🇩🇪 🇨🇿 🇫🇮

Meteor, poloha: Myra 2020-08-03 00:20:15 UTC

Soubor KML  |  InteraktivnĂ­ mapa

Mapa zobrazuje dráhy meteoru. Světlejší čáry ukazují směry od pozorovacích stanic při objevení se meteoru a tmavší čáry, kde byl naposledy viděn. Modrá šipka značí viditelnou dráhu meteoru.

static map
height profile
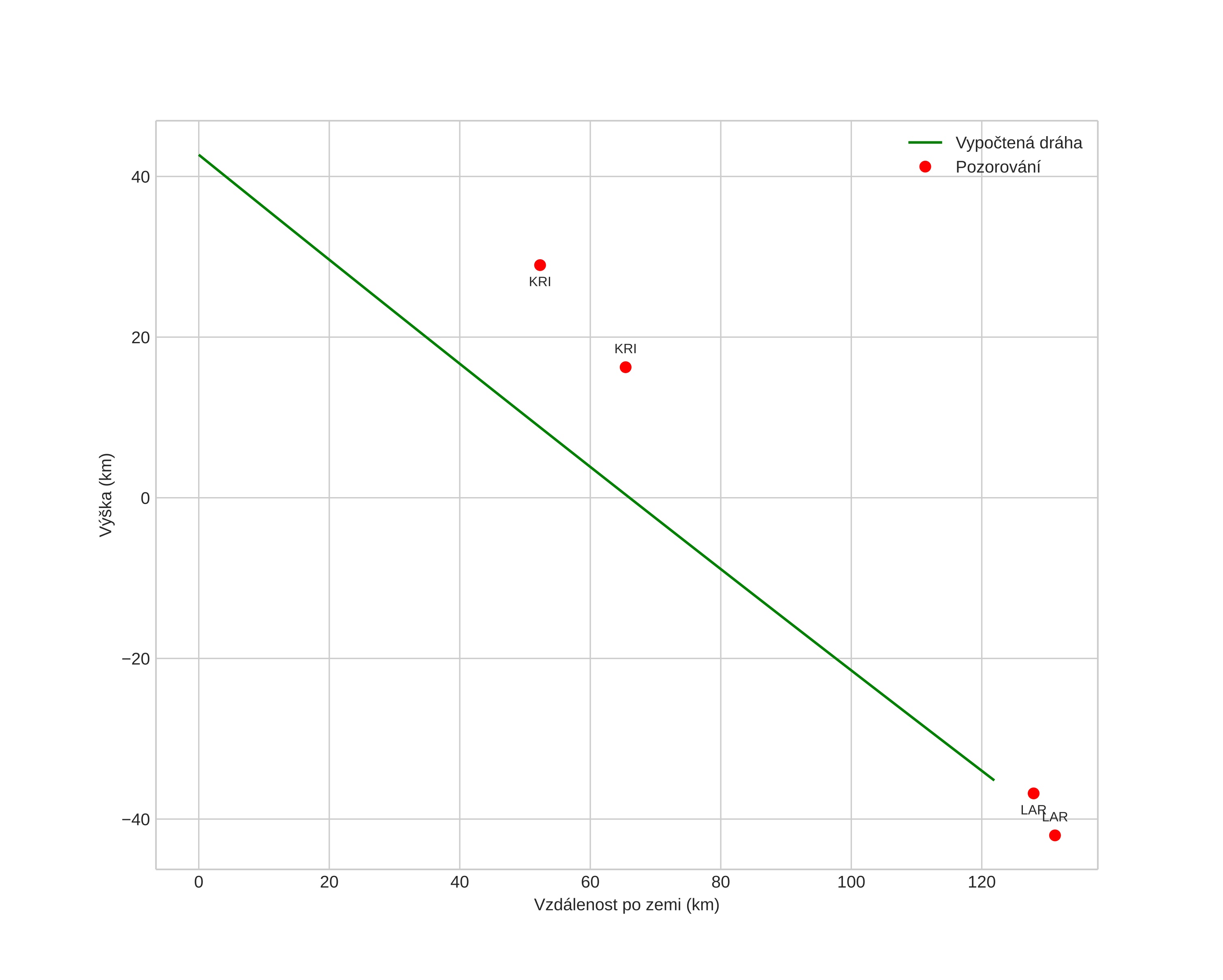
Atmosférická dráha meteoru:
Počáteční výška: 4,2 km
Konečná výška: -43,9 km
Počáteční poloha: 58,057N 9,000E
Konečná poloha: 58,707N 8,898E
Směr: 355,4°
Sklon: 33,6°
VstupnĂ­ rychlost: 8,0 km/s
orbit plot
position vs time
speed and acceleration