🇳🇴 🇬🇧 🇩🇪 🇨🇿 🇫🇮

Meteor, poloha: Vik 2020-08-03 01:54:00 UTC

Soubor KML  |  InteraktivnĂ­ mapa

Mapa zobrazuje dráhy meteoru. Světlejší čáry ukazují směry od pozorovacích stanic při objevení se meteoru a tmavší čáry, kde byl naposledy viděn. Modrá šipka značí viditelnou dráhu meteoru.

static map
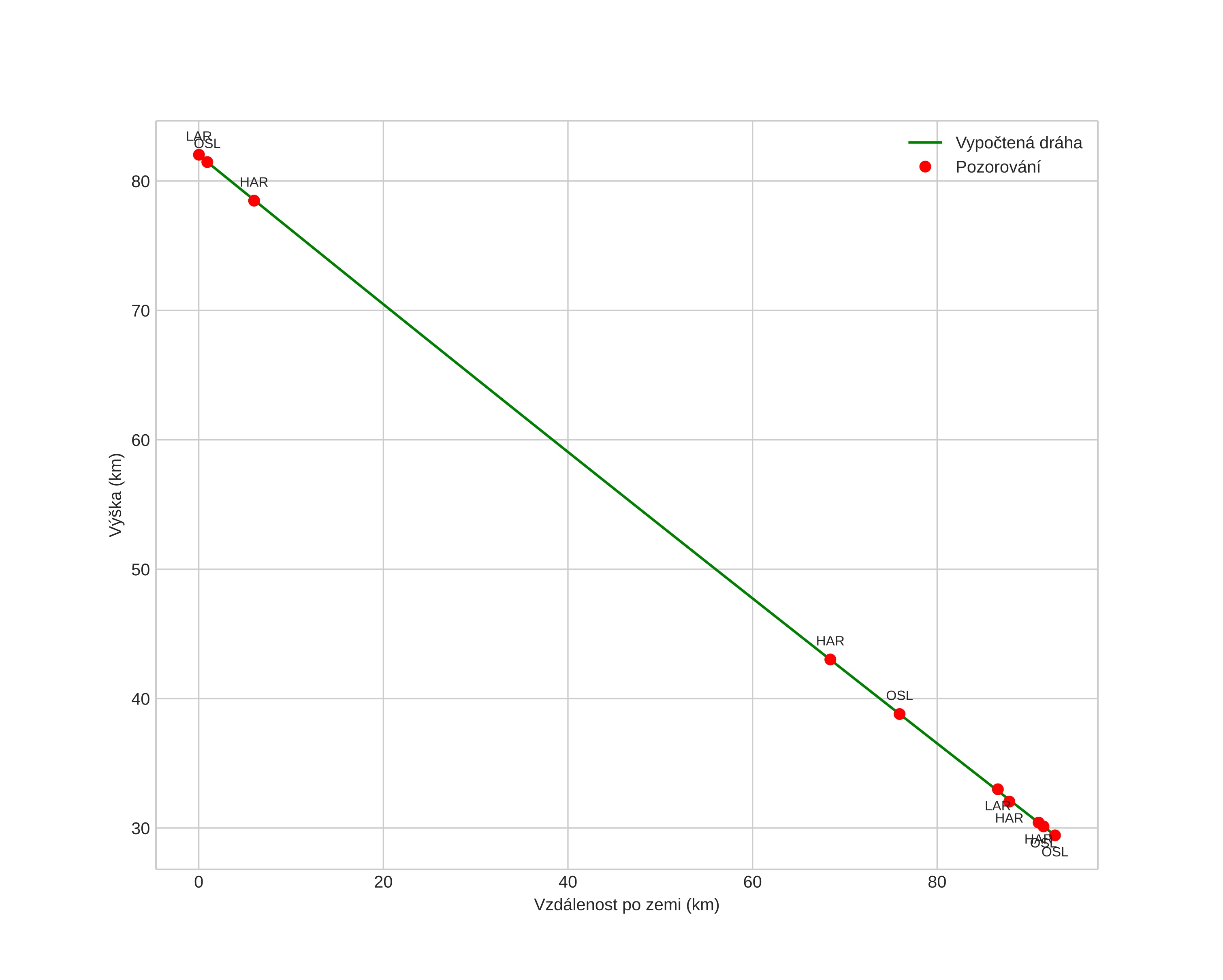
height profile
Atmosférická dráha meteoru:
Počáteční výška: 83,0 km
Konečná výška: 30,0 km
Počáteční poloha: 60,238N 8,704E
Konečná poloha: 60,014N 10,323E
Směr: 104,9°
Sklon: 29,7°
VstupnĂ­ rychlost: 15,3 km/s
Rektascenze radiantu: 17:01 (255,3°)
Deklinace radiantu: 22,2°
MeteorickĂ˝ roj: sporadickĂ˝
Elementy dráhy meteoroidu:
Vzdálenost v periheliu: 0,998 AU
Excentricita: 0,576
Sklon dráhy: 11,9°
Délka vzestupného uzlu: 130,9°
Argument perihelia: 197,2°
Střední anomálie: 356,2°
Epocha: 2020 AUG 03 01:54:00
orbit plot

NeinteraktivnĂ­ graf | InteraktivnĂ­ graf

position vs time
speed and acceleration