🇳🇴 🇬🇧 🇩🇪 🇨🇿 🇫🇮

Meteor, poloha: Seljord 2020-08-07 01:07:27 UTC

Soubor KML  |  InteraktivnĂ­ mapa

Mapa zobrazuje dráhy meteoru. Světlejší čáry ukazují směry od pozorovacích stanic při objevení se meteoru a tmavší čáry, kde byl naposledy viděn. Modrá šipka značí viditelnou dráhu meteoru.

static map
height profile
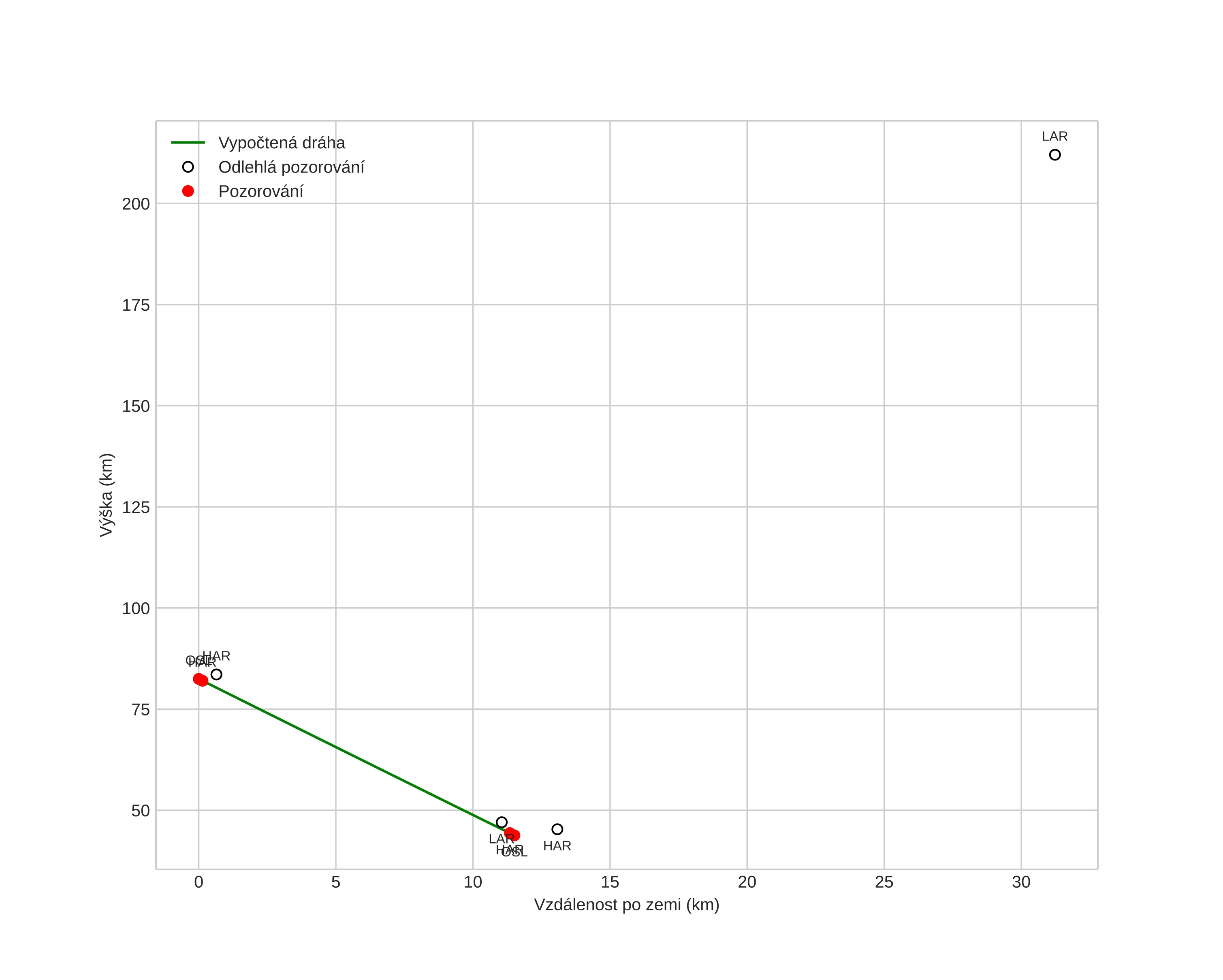
Atmosférická dráha meteoru:
Počáteční výška: 90,5 km
Konečná výška: 42,9 km
Počáteční poloha: 59,239N 8,344E
Konečná poloha: 59,260N 8,689E
Směr: 83,2°
Sklon: 67,5°
VstupnĂ­ rychlost: 28,9 km/s
Rektascenze radiantu: 20:11 (302,8°)
Deklinace radiantu: 49,4°
MeteorickĂ˝ roj: sporadickĂ˝
Elementy dráhy meteoroidu:
Vzdálenost v periheliu: 0,910 AU
Excentricita: 0,655
Sklon dráhy: 42,9°
Délka vzestupného uzlu: 134,7°
Argument perihelia: 222,3°
Střední anomálie: 352,8°
Epocha: 2020 AUG 07 01:07:27
orbit plot

NeinteraktivnĂ­ graf | InteraktivnĂ­ graf

position vs time
speed and acceleration