🇳🇴 🇬🇧 🇩🇪 🇨🇿 🇫🇮

Meteor, poloha: Hol 2020-08-08 21:38:06 UTC

Soubor KML  |  InteraktivnĂ­ mapa

Mapa zobrazuje dráhy meteoru. Světlejší čáry ukazují směry od pozorovacích stanic při objevení se meteoru a tmavší čáry, kde byl naposledy viděn. Modrá šipka značí viditelnou dráhu meteoru.

static map
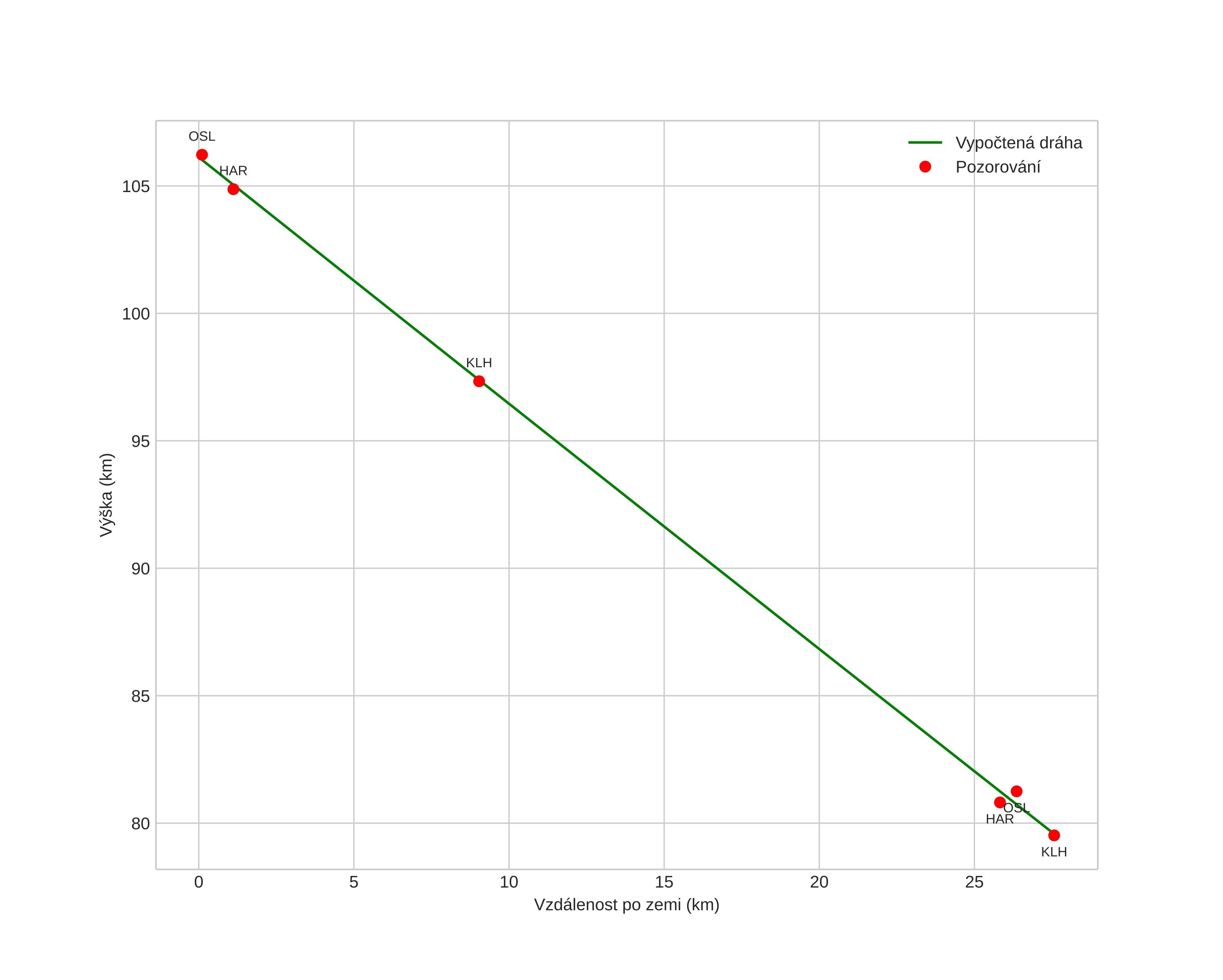
height profile
Atmosférická dráha meteoru:
Počáteční výška: 109,4 km
Konečná výška: 79,6 km
Počáteční poloha: 60,962N 8,510E
Konečná poloha: 60,718N 8,232E
Směr: 209,2°
Sklon: 43,8°
VstupnĂ­ rychlost: 68,5 km/s
Rektascenze radiantu: 03:28 (52,2°)
Deklinace radiantu: 65,5°
MeteorickĂ˝ roj: Perseidy
Elementy dráhy meteoroidu:
Vzdálenost v periheliu: 0,926 AU
Excentricita: 2,103
Sklon dráhy: 107,4°
Délka vzestupného uzlu: 136,5°
Argument perihelia: 150,7°
Střední anomálie: 20,5°
Epocha: 2020 AUG 08 21:38:06
orbit plot

NeinteraktivnĂ­ graf | InteraktivnĂ­ graf

position vs time
speed and acceleration