🇳🇴 🇬🇧 🇩🇪 🇨🇿 🇫🇮

Meteor Varan yllä 2020-08-08 23:32:00 UTC

KML-tiedosto  |  Interaktiivinen kartta

Kartta näyttää meteorin suuntahavainnot. Vaaleammat viivat näyttävät suunnat havaintoasemilta meteorin ilmestyessä, ja tummemmat viivat näyttävät, missä se viimeksi nähtiin. Sininen nuoli näyttää meteorin näkyvän lennon.

static map
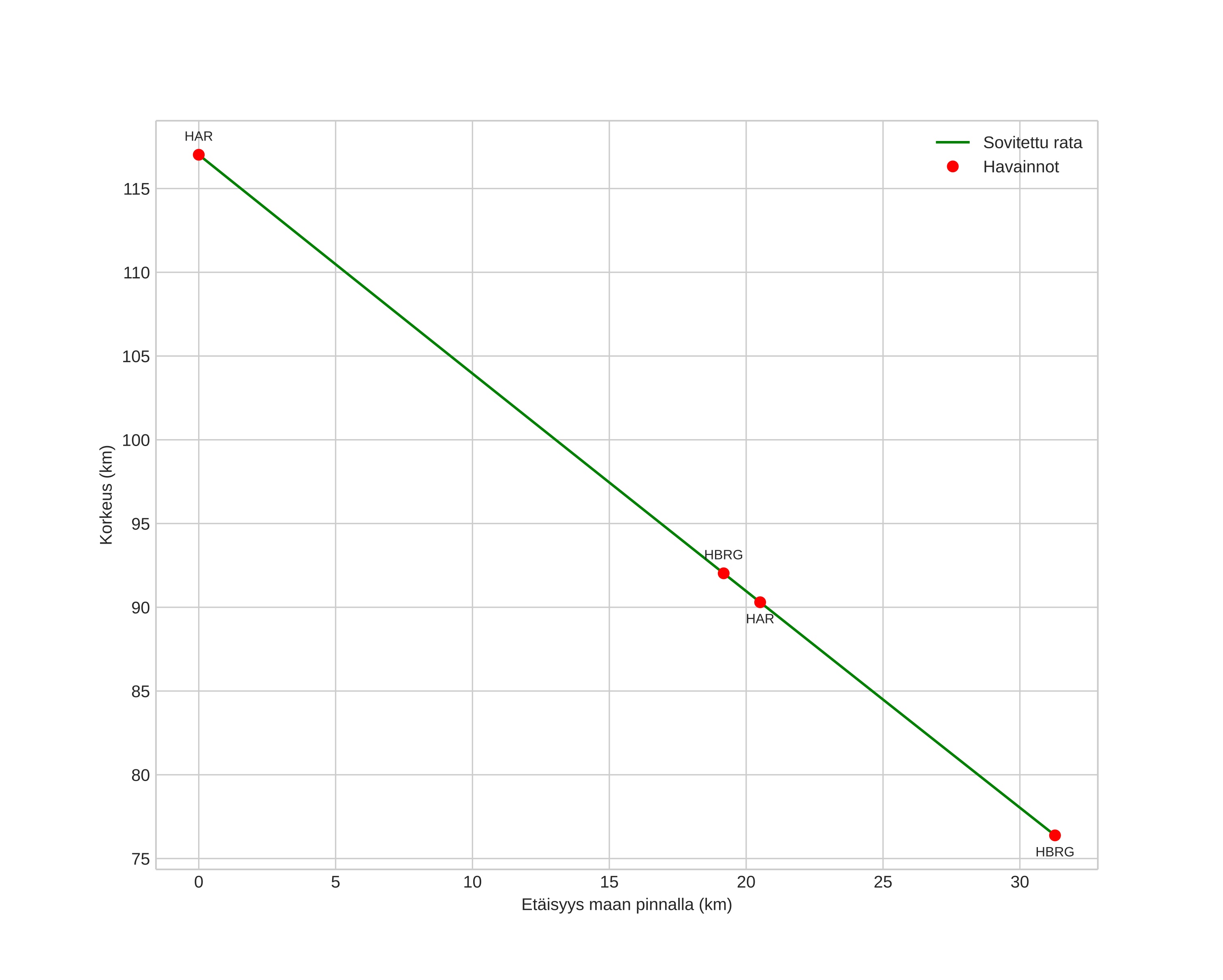
height profile
Meteorin ilmakehärata:
Alkukorkeus: 112,8 km
Loppukorkeus: 75,8 km
Alkupiste: 58,528N 13,322E
Loppupiste: 58,419N 12,879E
Suunta: 244,9°
Kallistuskulma: 52,4°
Tulonopeus: 73,0 km/s
Radiantin R,A,: 02:18 (34,6°)
Radiantin Dekl,: 54,0°
Meteoriparvi: Sporadinen
Meteoroidin rataelementit:
Perihelietäisyys: 1,005 AU
Eksentrisyys: 2,088
Inklinaatio: 122,0°
Nousevan solmun pituus: 136,6°
Perihelin argumentti: 171,0°
Keskianomalia: 5,9°
Epookki: 2020 AUG 08 23:32:00
orbit plot

Ei-interaktiivinen kuvaaja | Interaktiivinen kuvaaja

position vs time
speed and acceleration