🇳🇴 🇬🇧 🇩🇪 🇨🇿 🇫🇮

Meteor, poloha: Vestby 2020-08-09 23:10:48 UTC

Soubor KML  |  InteraktivnĂ­ mapa

Mapa zobrazuje dráhy meteoru. Světlejší čáry ukazují směry od pozorovacích stanic při objevení se meteoru a tmavší čáry, kde byl naposledy viděn. Modrá šipka značí viditelnou dráhu meteoru.

static map
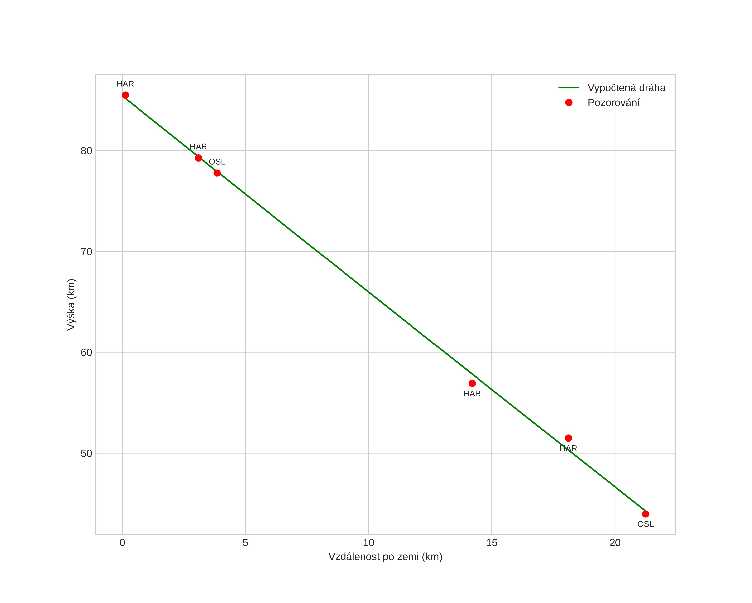
height profile
Atmosférická dráha meteoru:
Počáteční výška: 66,1 km
Konečná výška: 41,8 km
Počáteční poloha: 59,666N 11,074E
Konečná poloha: 59,539N 10,768E
Směr: 230,9°
Sklon: 47,5°
VstupnĂ­ rychlost: 36,1 km/s
Rektascenze radiantu: 03:12 (48,0°)
Deklinace radiantu: 57,8°
MeteorickĂ˝ roj: sporadickĂ˝
Elementy dráhy meteoroidu:
Vzdálenost v periheliu: 0,356 AU
Excentricita: 0,502
Sklon dráhy: 80,7°
Délka vzestupného uzlu: 137,5°
Argument perihelia: 19,7°
Střední anomálie: 130,4°
Epocha: 2020 AUG 09 23:10:48
orbit plot

NeinteraktivnĂ­ graf | InteraktivnĂ­ graf

position vs time
speed and acceleration