🇳🇴 🇬🇧 🇩🇪 🇨🇿 🇫🇮

Meteor, poloha: BjursĂĄs 2020-08-10 00:30:33 UTC

Soubor KML  |  InteraktivnĂ­ mapa

Mapa zobrazuje dráhy meteoru. Světlejší čáry ukazují směry od pozorovacích stanic při objevení se meteoru a tmavší čáry, kde byl naposledy viděn. Modrá šipka značí viditelnou dráhu meteoru.

static map
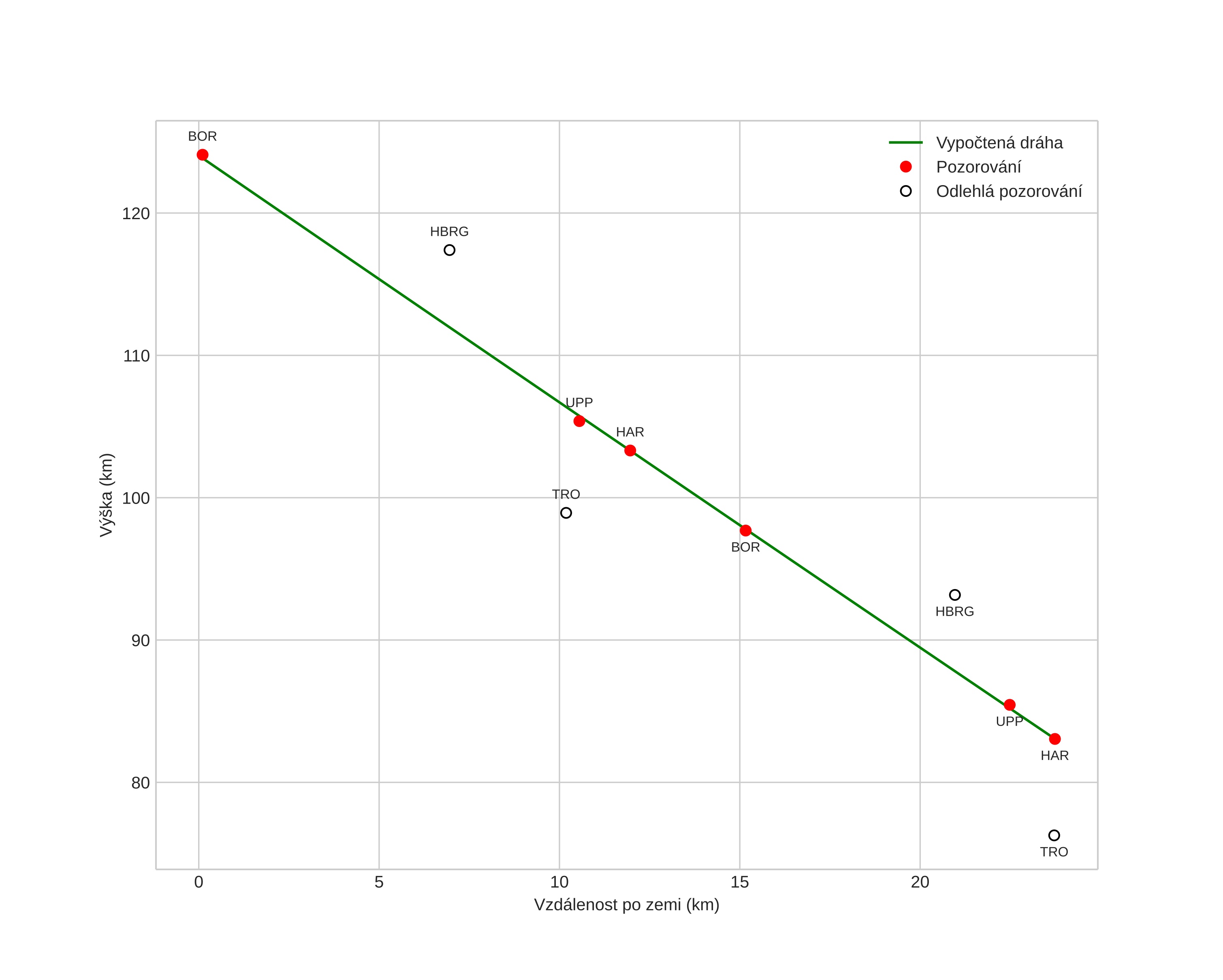
height profile
Atmosférická dráha meteoru:
Počáteční výška: 120,9 km
Konečná výška: 79,8 km
Počáteční poloha: 61,060N 15,883E
Konečná poloha: 60,988N 15,487E
Směr: 249,5°
Sklon: 61,0°
VstupnĂ­ rychlost: 62,7 km/s
Rektascenze radiantu: 02:43 (40,9°)
Deklinace radiantu: 57,8°
MeteorickĂ˝ roj: Perseidy
Elementy dráhy meteoroidu:
Vzdálenost v periheliu: 0,977 AU
Excentricita: 1,185
Sklon dráhy: 113,7°
Délka vzestupného uzlu: 137,6°
Argument perihelia: 158,9°
Střední anomálie: 1,2°
Epocha: 2020 AUG 10 00:30:33
orbit plot

NeinteraktivnĂ­ graf | InteraktivnĂ­ graf

position vs time
speed and acceleration