🇳🇴 🇬🇧 🇩🇪 🇨🇿 🇫🇮

Meteor, poloha: Älvdalen 2020-08-11 01:01:35 UTC

Soubor KML  |  InteraktivnĂ­ mapa

Mapa zobrazuje dráhy meteoru. Světlejší čáry ukazují směry od pozorovacích stanic při objevení se meteoru a tmavší čáry, kde byl naposledy viděn. Modrá šipka značí viditelnou dráhu meteoru.

static map
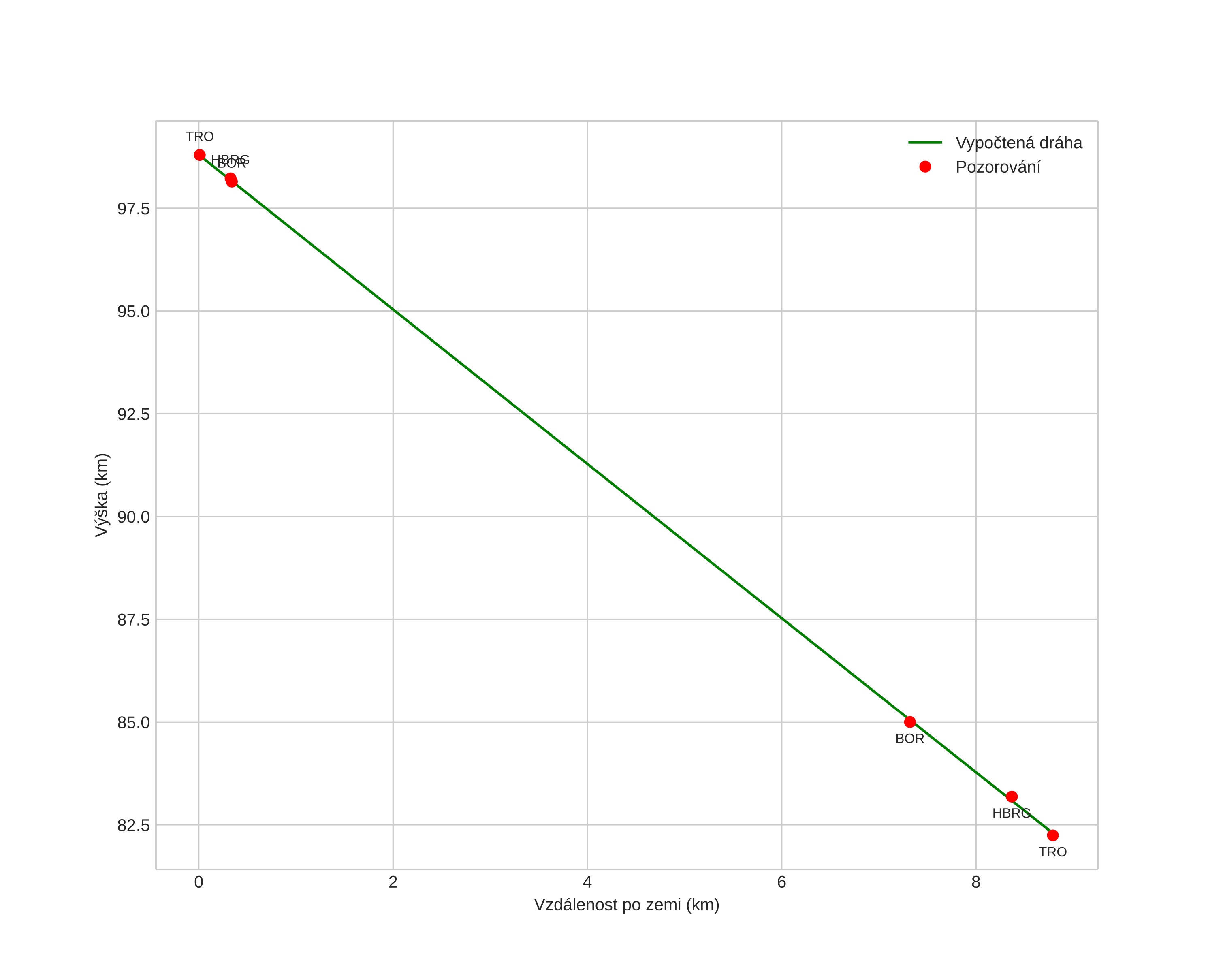
height profile
Atmosférická dráha meteoru:
Počáteční výška: 98,9 km
Konečná výška: 71,5 km
Počáteční poloha: 61,241N 13,766E
Konečná poloha: 61,213N 13,492E
Směr: 258,0°
Sklon: 61,3°
VstupnĂ­ rychlost: 71,2 km/s
Rektascenze radiantu: 02:52 (43,2°)
Deklinace radiantu: 54,6°
MeteorickĂ˝ roj: sporadickĂ˝
Elementy dráhy meteoroidu:
Vzdálenost v periheliu: 0,986 AU
Excentricita: 1,843
Sklon dráhy: 122,6°
Délka vzestupného uzlu: 138,6°
Argument perihelia: 163,2°
Střední anomálie: 7,8°
Epocha: 2020 AUG 11 01:01:35
orbit plot

NeinteraktivnĂ­ graf | InteraktivnĂ­ graf

position vs time
speed and acceleration