🇳🇴 🇬🇧 🇩🇪 🇨🇿 🇫🇮

Meteor, poloha: Tranebjerg 2020-08-11 01:45:31 UTC

Soubor KML  |  InteraktivnĂ­ mapa

Mapa zobrazuje dráhy meteoru. Světlejší čáry ukazují směry od pozorovacích stanic při objevení se meteoru a tmavší čáry, kde byl naposledy viděn. Modrá šipka značí viditelnou dráhu meteoru.

static map
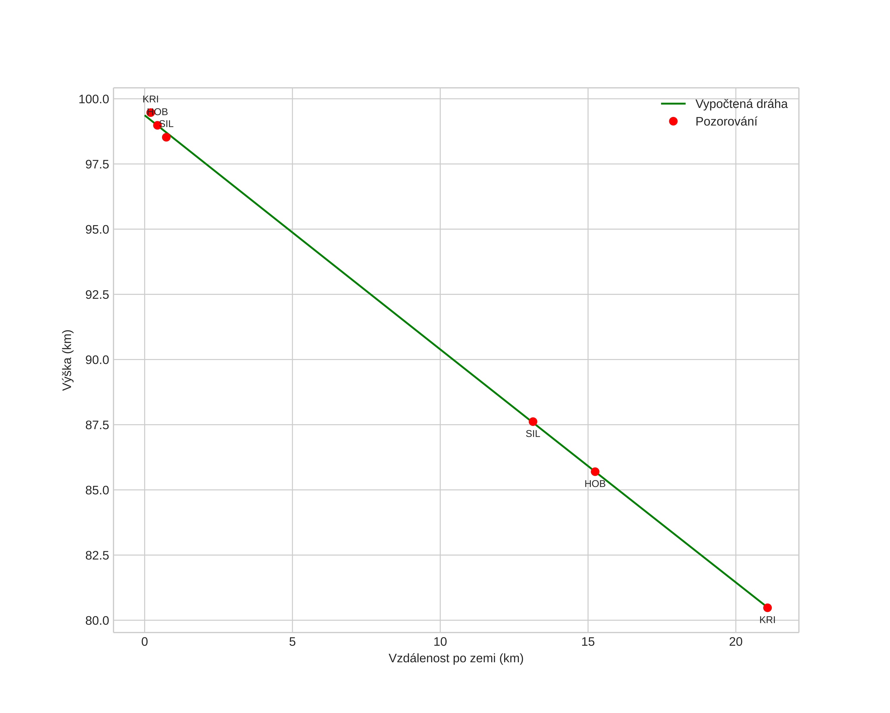
height profile
Atmosférická dráha meteoru:
Počáteční výška: 99,8 km
Konečná výška: 80,6 km
Počáteční poloha: 55,933N 10,467E
Konečná poloha: 55,746N 10,432E
Směr: 186,1°
Sklon: 42,6°
VstupnĂ­ rychlost: 62,4 km/s
Rektascenze radiantu: 10:34 (158,6°)
Deklinace radiantu: 75,9°
MeteorickĂ˝ roj: sporadickĂ˝
Elementy dráhy meteoroidu:
Vzdálenost v periheliu: 0,863 AU
Excentricita: 3,083
Sklon dráhy: 72,0°
Délka vzestupného uzlu: 138,6°
Argument perihelia: 143,5°
Střední anomálie: 60,6°
Epocha: 2020 AUG 11 01:45:31
orbit plot

NeinteraktivnĂ­ graf | InteraktivnĂ­ graf

position vs time
speed and acceleration