🇳🇴 🇬🇧 🇩🇪 🇨🇿 🇫🇮

Meteor, poloha: Vestbygd 2020-08-11 21:23:30 UTC

Soubor KML  |  InteraktivnĂ­ mapa

Mapa zobrazuje dráhy meteoru. Světlejší čáry ukazují směry od pozorovacích stanic při objevení se meteoru a tmavší čáry, kde byl naposledy viděn. Modrá šipka značí viditelnou dráhu meteoru.

static map
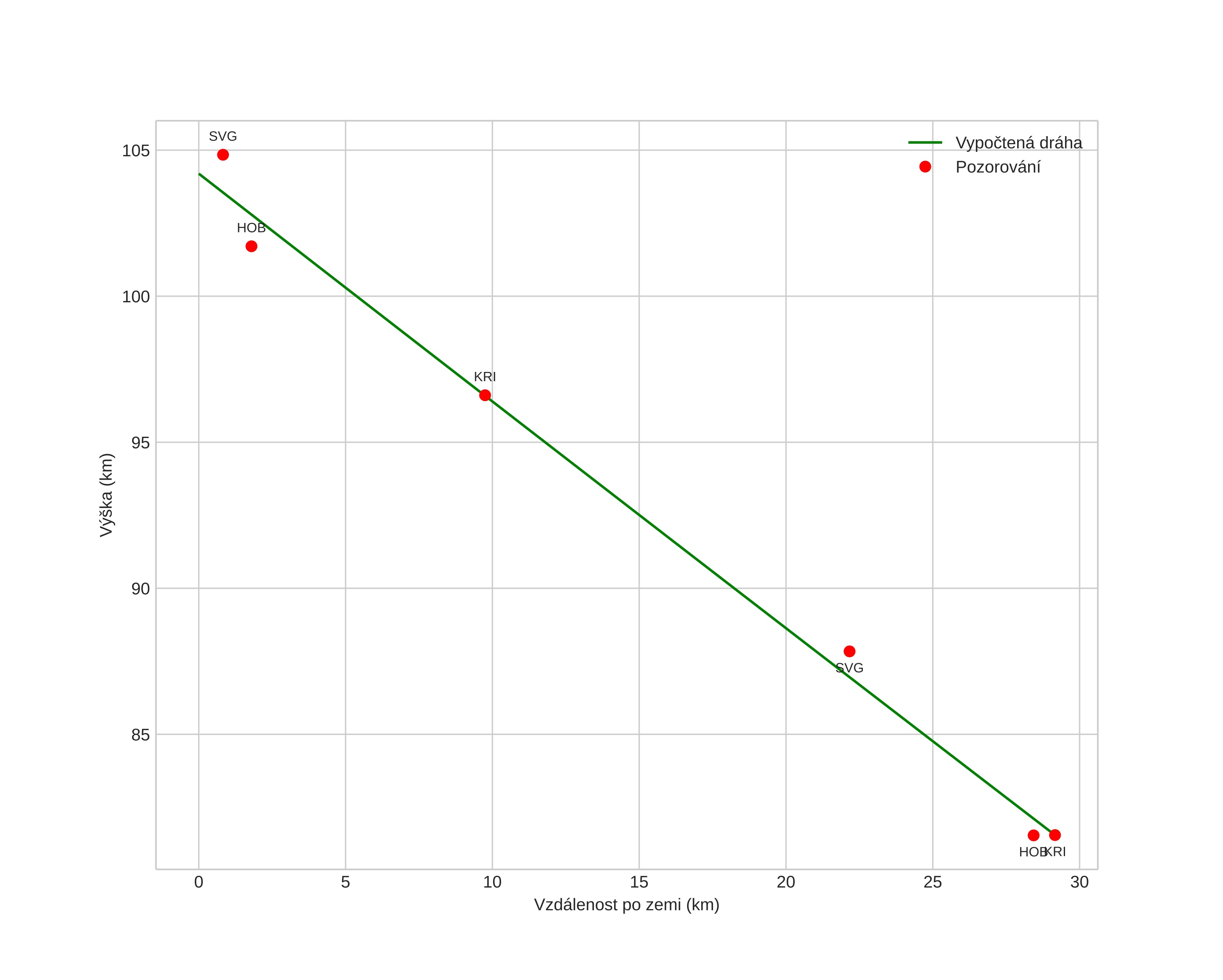
height profile
Atmosférická dráha meteoru:
Počáteční výška: 100,8 km
Konečná výška: 81,2 km
Počáteční poloha: 56,411N 5,541E
Konečná poloha: 56,205N 5,282E
Směr: 215,1°
Sklon: 35,1°
VstupnĂ­ rychlost: 59,1 km/s
Rektascenze radiantu: 02:57 (44,5°)
Deklinace radiantu: 57,8°
MeteorickĂ˝ roj: Perseidy
Elementy dráhy meteoroidu:
Vzdálenost v periheliu: 0,963 AU
Excentricita: 0,859
Sklon dráhy: 112,1°
Délka vzestupného uzlu: 139,4°
Argument perihelia: 153,2°
Střední anomálie: 1,1°
Epocha: 2020 AUG 11 21:23:30
orbit plot

NeinteraktivnĂ­ graf | InteraktivnĂ­ graf

position vs time
speed and acceleration