🇳🇴 🇬🇧 🇩🇪 🇨🇿 🇫🇮

Meteor, poloha: Arendal 2020-08-11 23:42:32 UTC

Soubor KML  |  InteraktivnĂ­ mapa

Mapa zobrazuje dráhy meteoru. Světlejší čáry ukazují směry od pozorovacích stanic při objevení se meteoru a tmavší čáry, kde byl naposledy viděn. Modrá šipka značí viditelnou dráhu meteoru.

static map
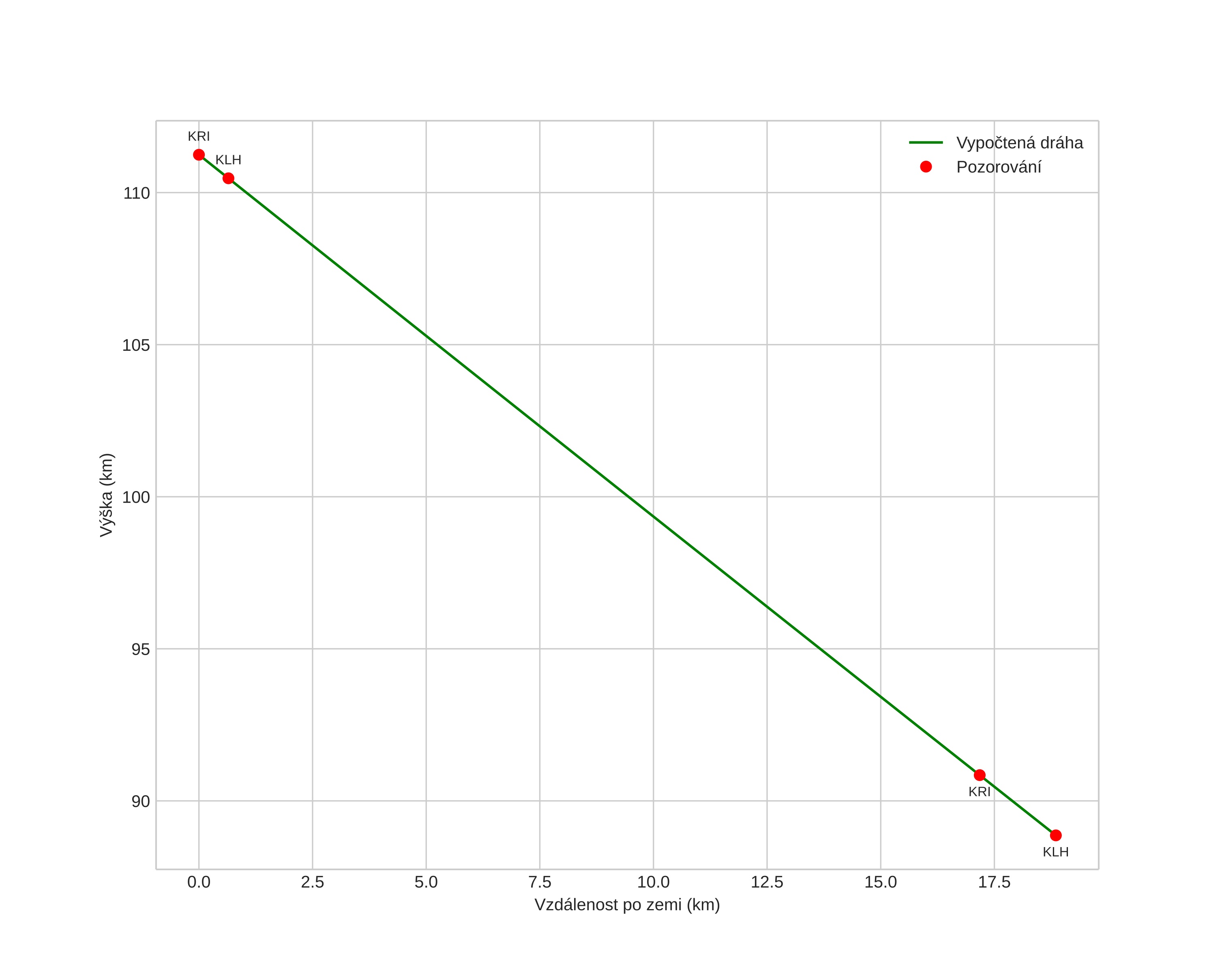
height profile
Atmosférická dráha meteoru:
Počáteční výška: 110,2 km
Konečná výška: 88,2 km
Počáteční poloha: 58,108N 9,421E
Konečná poloha: 58,000N 9,173E
Směr: 230,4°
Sklon: 49,3°
VstupnĂ­ rychlost: 59,3 km/s
Rektascenze radiantu: 03:21 (50,3°)
Deklinace radiantu: 59,6°
MeteorickĂ˝ roj: Perseidy
Elementy dráhy meteoroidu:
Vzdálenost v periheliu: 0,926 AU
Excentricita: 0,943
Sklon dráhy: 110,4°
Délka vzestupného uzlu: 139,5°
Argument perihelia: 145,3°
Střední anomálie: 0,4°
Epocha: 2020 AUG 11 23:42:32
orbit plot

NeinteraktivnĂ­ graf | InteraktivnĂ­ graf

position vs time
speed and acceleration