🇳🇴 🇬🇧 🇩🇪 🇨🇿 🇫🇮

Meteor, poloha: Stoholm 2020-08-11 23:46:49 UTC

Soubor KML  |  InteraktivnĂ­ mapa

Mapa zobrazuje dráhy meteoru. Světlejší čáry ukazují směry od pozorovacích stanic při objevení se meteoru a tmavší čáry, kde byl naposledy viděn. Modrá šipka značí viditelnou dráhu meteoru.

static map
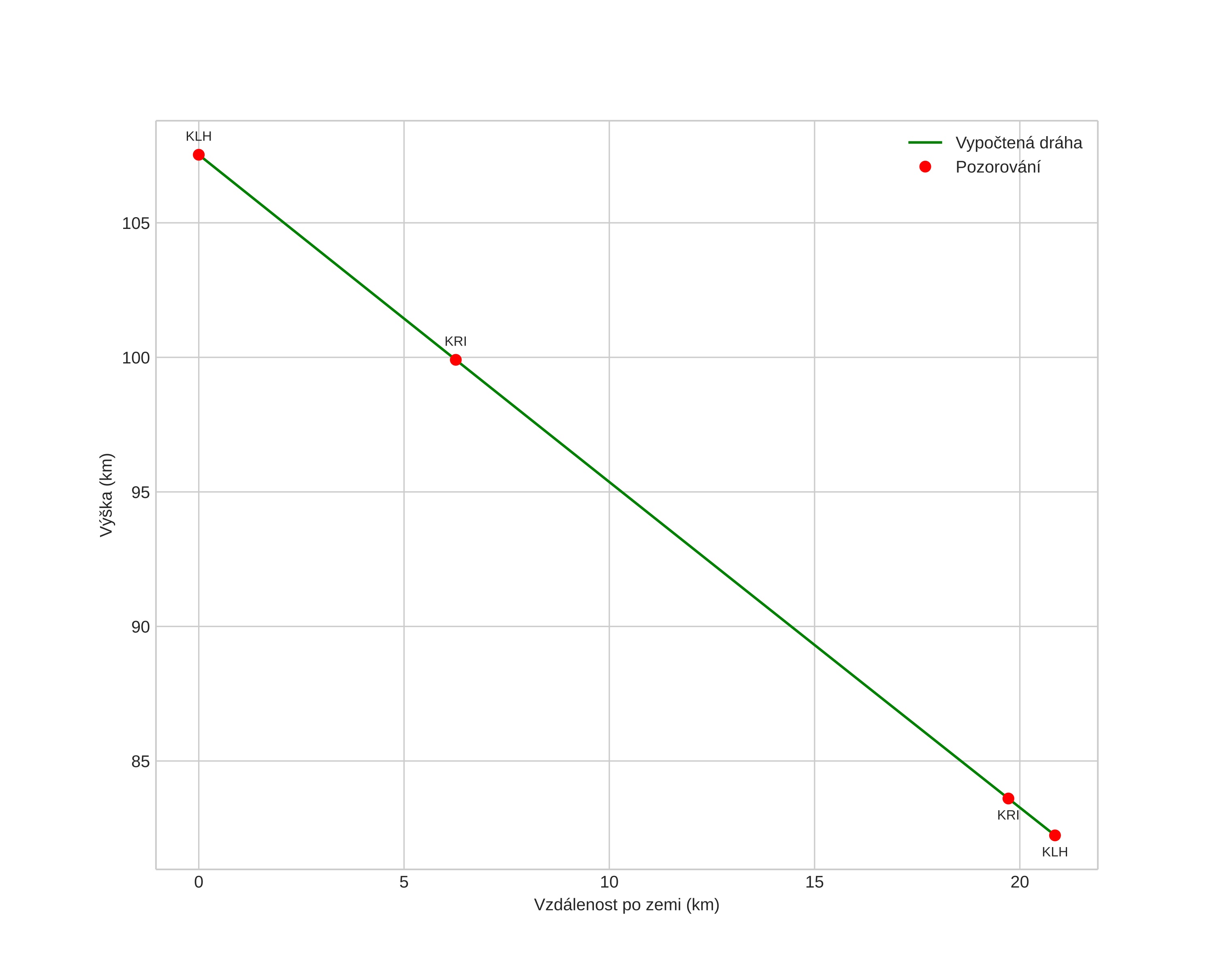
height profile
Atmosférická dráha meteoru:
Počáteční výška: 108,3 km
Konečná výška: 83,0 km
Počáteční poloha: 56,514N 9,310E
Konečná poloha: 56,393N 9,043E
Směr: 230,7°
Sklon: 50,0°
VstupnĂ­ rychlost: 55,8 km/s
Rektascenze radiantu: 03:09 (47,4°)
Deklinace radiantu: 59,6°
MeteorickĂ˝ roj: Perseidy
Elementy dráhy meteoroidu:
Vzdálenost v periheliu: 0,931 AU
Excentricita: 0,689
Sklon dráhy: 107,7°
Délka vzestupného uzlu: 139,5°
Argument perihelia: 143,2°
Střední anomálie: 5,2°
Epocha: 2020 AUG 11 23:46:49
orbit plot

NeinteraktivnĂ­ graf | InteraktivnĂ­ graf

position vs time
speed and acceleration