🇳🇴 🇬🇧 🇩🇪 🇨🇿 🇫🇮

Meteor, poloha: Fjerritslev 2020-08-12 00:02:32 UTC

Soubor KML  |  InteraktivnĂ­ mapa

Mapa zobrazuje dráhy meteoru. Světlejší čáry ukazují směry od pozorovacích stanic při objevení se meteoru a tmavší čáry, kde byl naposledy viděn. Modrá šipka značí viditelnou dráhu meteoru.

static map
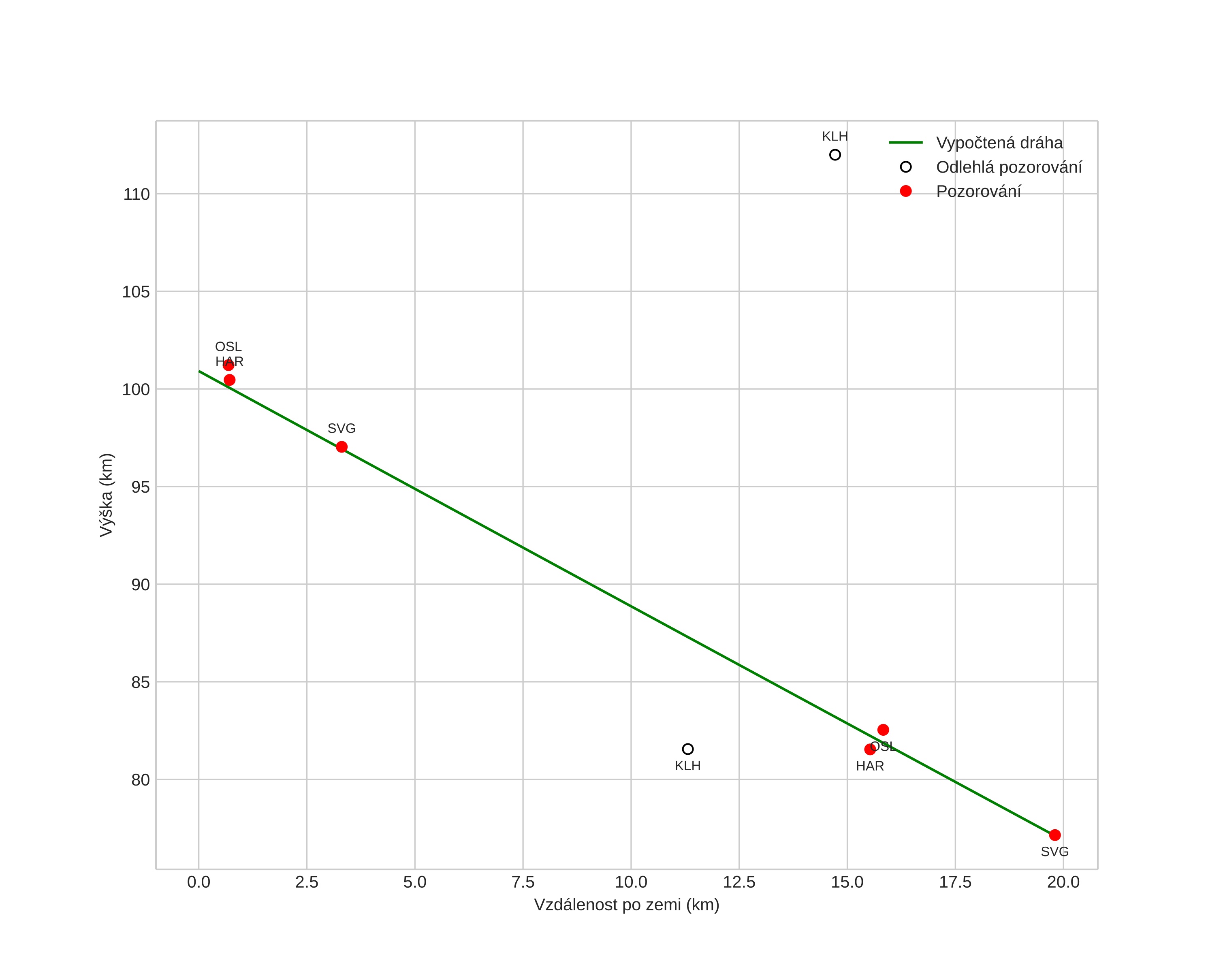
height profile
Atmosférická dráha meteoru:
Počáteční výška: 112,2 km
Konečná výška: 81,8 km
Počáteční poloha: 57,631N 9,622E
Konečná poloha: 57,516N 9,287E
Směr: 237,5°
Sklon: 52,0°
VstupnĂ­ rychlost: 55,3 km/s
Rektascenze radiantu: 03:02 (45,6°)
Deklinace radiantu: 57,3°
MeteorickĂ˝ roj: Perseidy
Elementy dráhy meteoroidu:
Vzdálenost v periheliu: 0,938 AU
Excentricita: 0,558
Sklon dráhy: 110,0°
Délka vzestupného uzlu: 139,5°
Argument perihelia: 142,4°
Střední anomálie: 9,3°
Epocha: 2020 AUG 12 00:02:32
orbit plot

NeinteraktivnĂ­ graf | InteraktivnĂ­ graf

position vs time
speed and acceleration