🇳🇴 🇬🇧 🇩🇪 🇨🇿 🇫🇮

Meteor, poloha: Innbygda 2020-08-12 20:40:15 UTC

Soubor KML  |  InteraktivnĂ­ mapa

Mapa zobrazuje dráhy meteoru. Světlejší čáry ukazují směry od pozorovacích stanic při objevení se meteoru a tmavší čáry, kde byl naposledy viděn. Modrá šipka značí viditelnou dráhu meteoru.

static map
height profile
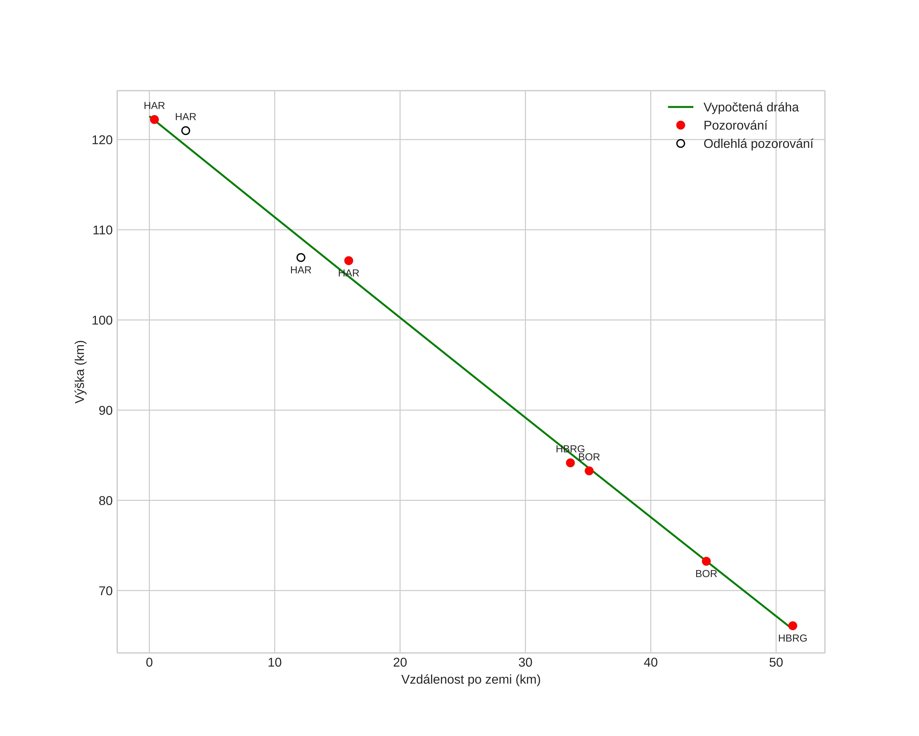
Atmosférická dráha meteoru:
Počáteční výška: 118,6 km
Konečná výška: 81,1 km
Počáteční poloha: 61,282N 13,061E
Konečná poloha: 60,929N 12,789E
Směr: 200,5°
Sklon: 41,9°
VstupnĂ­ rychlost: 39,1 km/s
Rektascenze radiantu: 04:16 (64,0°)
Deklinace radiantu: 66,2°
MeteorickĂ˝ roj: sporadickĂ˝
Elementy dráhy meteoroidu:
Vzdálenost v periheliu: 0,583 AU
Excentricita: 0,395
Sklon dráhy: 78,9°
Délka vzestupného uzlu: 140,3°
Argument perihelia: 59,9°
Střední anomálie: 75,2°
Epocha: 2020 AUG 12 20:40:15
orbit plot

NeinteraktivnĂ­ graf | InteraktivnĂ­ graf

position vs time
speed and acceleration