🇳🇴 🇬🇧 🇩🇪 🇨🇿 🇫🇮

Meteor, poloha: Aksdal 2020-08-12 20:46:51 UTC

Soubor KML  |  InteraktivnĂ­ mapa

Mapa zobrazuje dráhy meteoru. Světlejší čáry ukazují směry od pozorovacích stanic při objevení se meteoru a tmavší čáry, kde byl naposledy viděn. Modrá šipka značí viditelnou dráhu meteoru.

static map
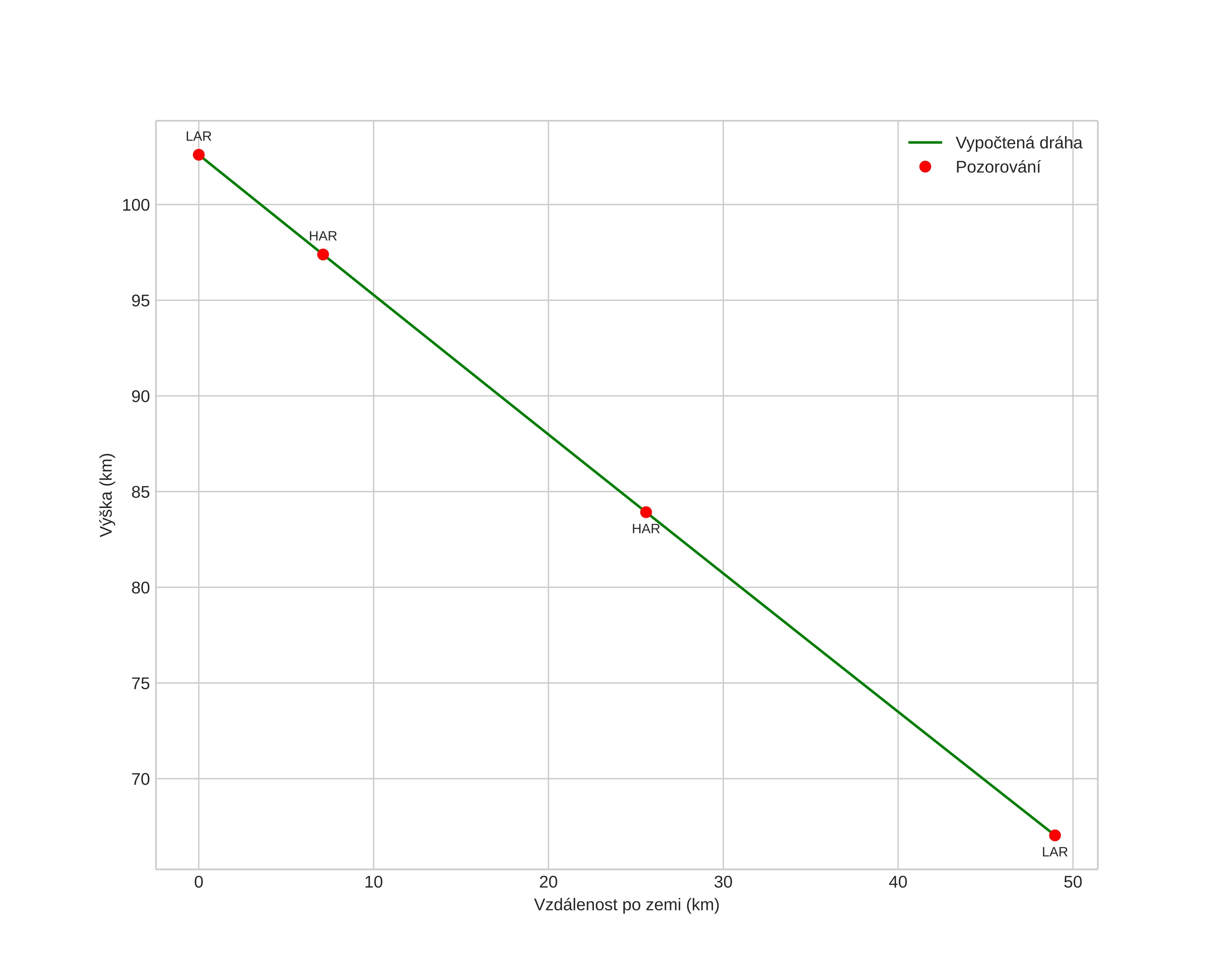
height profile
Atmosférická dráha meteoru:
Počáteční výška: 102,2 km
Konečná výška: 69,8 km
Počáteční poloha: 59,900N 5,846E
Konečná poloha: 59,573N 5,526E
Směr: 206,4°
Sklon: 38,6°
VstupnĂ­ rychlost: 58,8 km/s
Rektascenze radiantu: 03:18 (49,7°)
Deklinace radiantu: 62,6°
MeteorickĂ˝ roj: Perseidy
Elementy dráhy meteoroidu:
Vzdálenost v periheliu: 0,941 AU
Excentricita: 1,028
Sklon dráhy: 106,4°
Délka vzestupného uzlu: 140,3°
Argument perihelia: 149,2°
Střední anomálie: 0,1°
Epocha: 2020 AUG 12 20:46:51
orbit plot

NeinteraktivnĂ­ graf | InteraktivnĂ­ graf

position vs time
speed and acceleration