🇳🇴 🇬🇧 🇩🇪 🇨🇿 🇫🇮

Meteor, poloha: Vansbro 2020-08-12 23:48:05 UTC

Soubor KML  |  InteraktivnĂ­ mapa

Mapa zobrazuje dráhy meteoru. Světlejší čáry ukazují směry od pozorovacích stanic při objevení se meteoru a tmavší čáry, kde byl naposledy viděn. Modrá šipka značí viditelnou dráhu meteoru.

static map
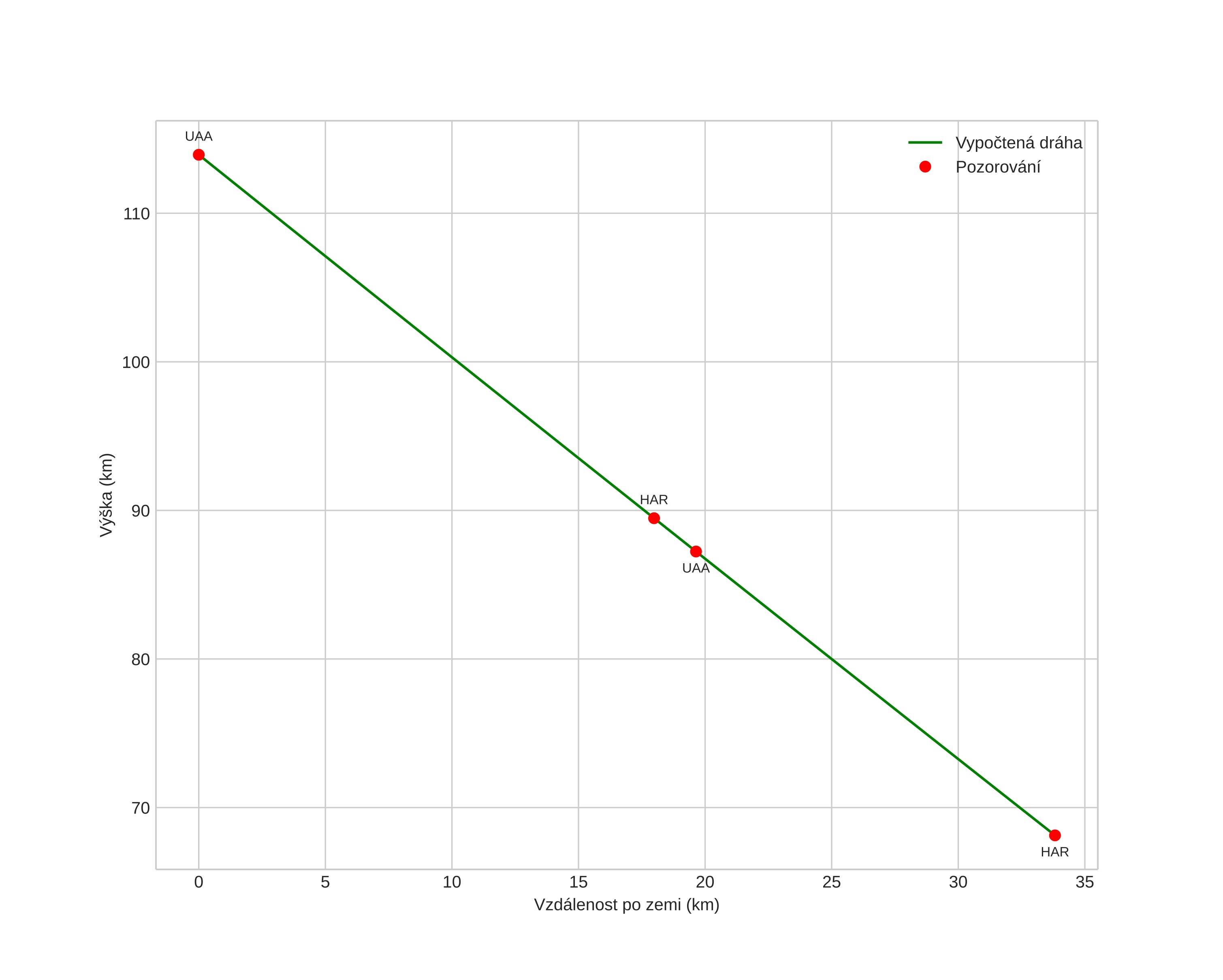
height profile
Atmosférická dráha meteoru:
Počáteční výška: 111,7 km
Konečná výška: 69,8 km
Počáteční poloha: 60,668N 14,724E
Konečná poloha: 60,526N 14,245E
Směr: 239,0°
Sklon: 53,9°
VstupnĂ­ rychlost: 56,7 km/s
Rektascenze radiantu: 03:15 (48,8°)
Deklinace radiantu: 58,4°
MeteorickĂ˝ roj: Perseidy
Elementy dráhy meteoroidu:
Vzdálenost v periheliu: 0,932 AU
Excentricita: 0,689
Sklon dráhy: 110,2°
Délka vzestupného uzlu: 140,4°
Argument perihelia: 143,6°
Střední anomálie: 5,2°
Epocha: 2020 AUG 12 23:48:05
orbit plot

NeinteraktivnĂ­ graf | InteraktivnĂ­ graf

position vs time
speed and acceleration