🇳🇴 🇬🇧 🇩🇪 🇨🇿 🇫🇮

Meteor, poloha: Innbygda 2020-08-13 00:20:00 UTC

Soubor KML  |  InteraktivnĂ­ mapa

Mapa zobrazuje dráhy meteoru. Světlejší čáry ukazují směry od pozorovacích stanic při objevení se meteoru a tmavší čáry, kde byl naposledy viděn. Modrá šipka značí viditelnou dráhu meteoru.

static map
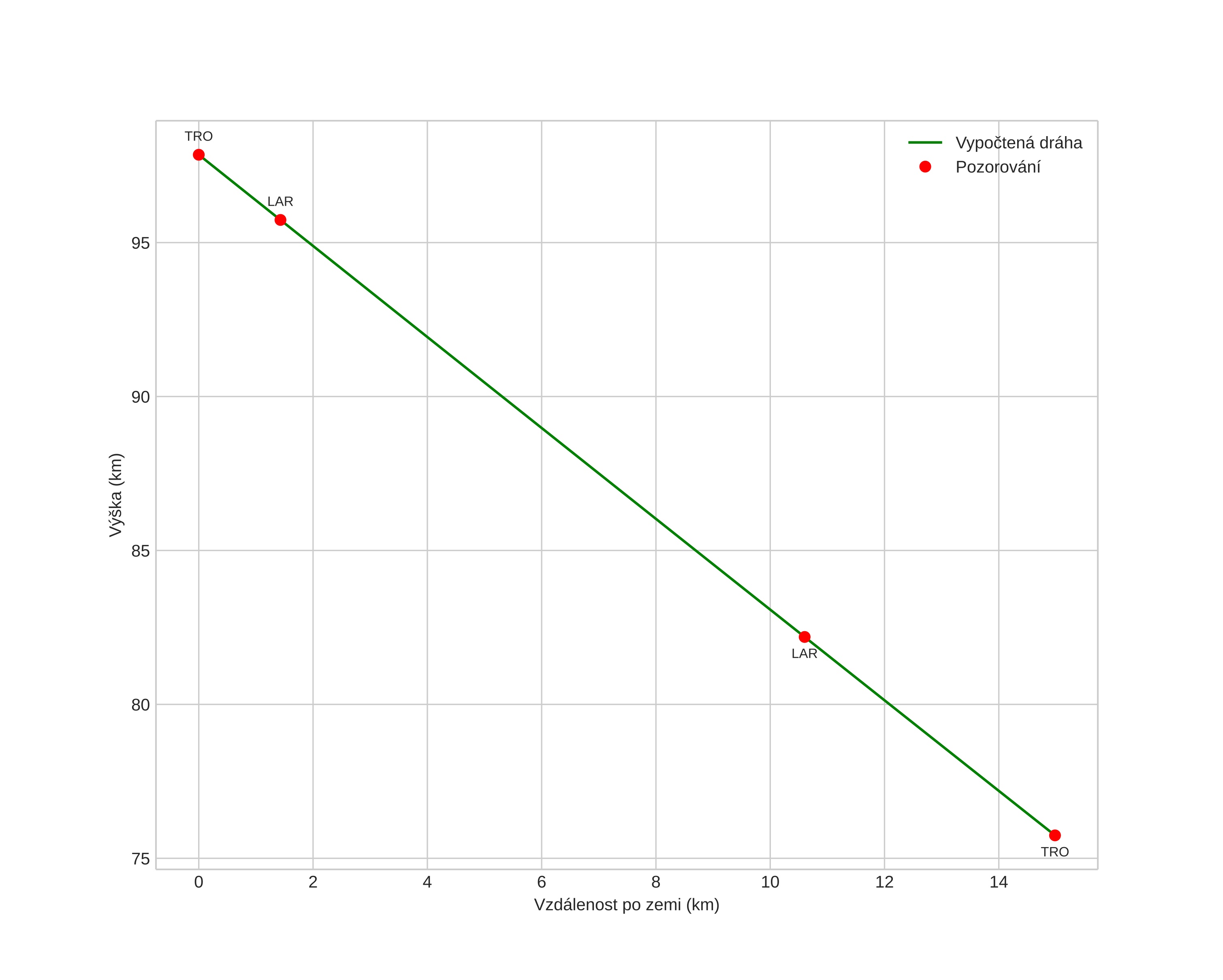
height profile
Atmosférická dráha meteoru:
Počáteční výška: 98,2 km
Konečná výška: 78,7 km
Počáteční poloha: 61,867N 12,959E
Konečná poloha: 61,820N 12,739E
Směr: 245,7°
Sklon: 57,0°
VstupnĂ­ rychlost: 64,3 km/s
Rektascenze radiantu: 03:10 (47,7°)
Deklinace radiantu: 57,6°
MeteorickĂ˝ roj: Perseidy
Elementy dráhy meteoroidu:
Vzdálenost v periheliu: 0,965 AU
Excentricita: 1,267
Sklon dráhy: 116,3°
Délka vzestupného uzlu: 140,4°
Argument perihelia: 156,3°
Střední anomálie: 2,2°
Epocha: 2020 AUG 13 00:20:00
orbit plot

NeinteraktivnĂ­ graf | InteraktivnĂ­ graf

position vs time
speed and acceleration