🇳🇴 🇬🇧 🇩🇪 🇨🇿 🇫🇮

Meteor, poloha: Innbygda 2020-08-13 00:20:01 UTC

Soubor KML  |  InteraktivnĂ­ mapa

Mapa zobrazuje dráhy meteoru. Světlejší čáry ukazují směry od pozorovacích stanic při objevení se meteoru a tmavší čáry, kde byl naposledy viděn. Modrá šipka značí viditelnou dráhu meteoru.

static map
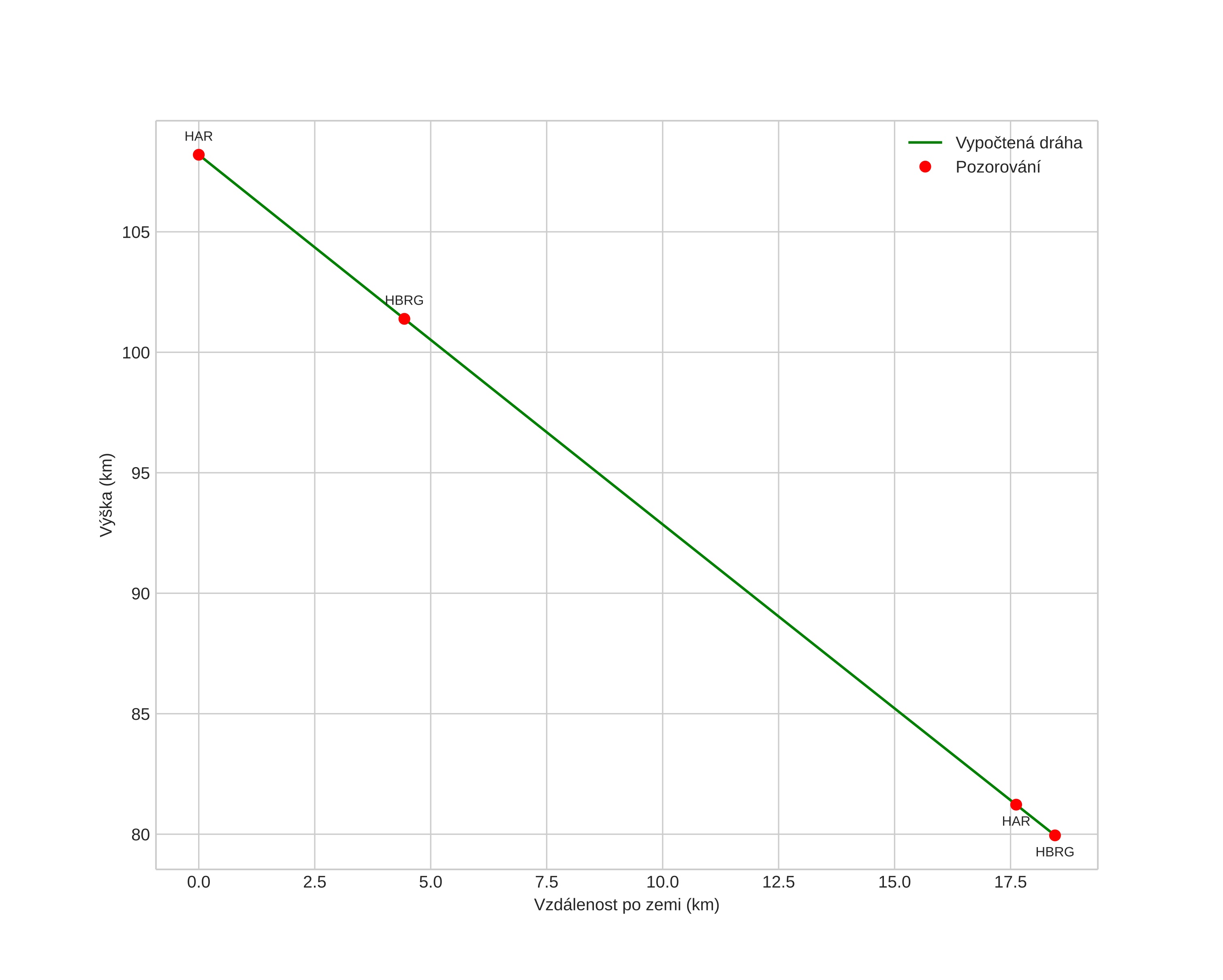
height profile
Atmosférická dráha meteoru:
Počáteční výška: 109,9 km
Konečná výška: 80,4 km
Počáteční poloha: 61,888N 13,091E
Konečná poloha: 61,814N 12,756E
Směr: 245,2°
Sklon: 56,7°
VstupnĂ­ rychlost: 64,5 km/s
Rektascenze radiantu: 03:14 (48,7°)
Deklinace radiantu: 57,6°
MeteorickĂ˝ roj: Perseidy
Elementy dráhy meteoroidu:
Vzdálenost v periheliu: 0,960 AU
Excentricita: 1,280
Sklon dráhy: 116,4°
Délka vzestupného uzlu: 140,4°
Argument perihelia: 155,1°
Střední anomálie: 2,5°
Epocha: 2020 AUG 13 00:20:01
orbit plot

NeinteraktivnĂ­ graf | InteraktivnĂ­ graf

position vs time
speed and acceleration