🇳🇴 🇬🇧 🇩🇪 🇨🇿 🇫🇮

Meteor, poloha: Thisted 2020-08-13 00:28:01 UTC

Soubor KML  |  InteraktivnĂ­ mapa

Mapa zobrazuje dráhy meteoru. Světlejší čáry ukazují směry od pozorovacích stanic při objevení se meteoru a tmavší čáry, kde byl naposledy viděn. Modrá šipka značí viditelnou dráhu meteoru.

static map
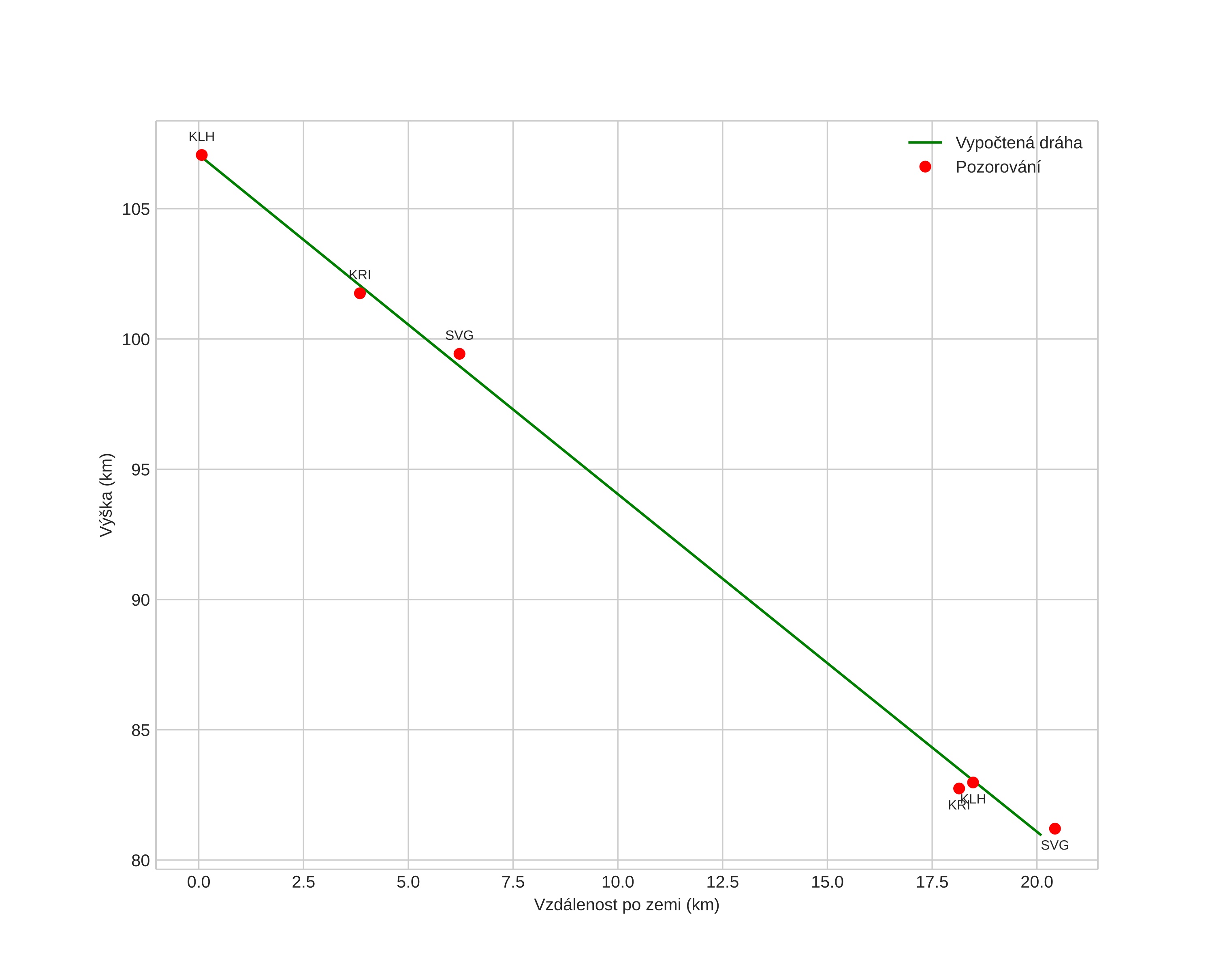
height profile
Atmosférická dráha meteoru:
Počáteční výška: 107,1 km
Konečná výška: 81,0 km
Počáteční poloha: 57,032N 8,860E
Konečná poloha: 56,933N 8,582E
Směr: 237,0°
Sklon: 52,4°
VstupnĂ­ rychlost: 60,6 km/s
Rektascenze radiantu: 03:23 (50,9°)
Deklinace radiantu: 57,6°
MeteorickĂ˝ roj: Perseidy
Elementy dráhy meteoroidu:
Vzdálenost v periheliu: 0,934 AU
Excentricita: 0,953
Sklon dráhy: 114,2°
Délka vzestupného uzlu: 140,5°
Argument perihelia: 147,2°
Střední anomálie: 0,3°
Epocha: 2020 AUG 13 00:28:01
orbit plot

NeinteraktivnĂ­ graf | InteraktivnĂ­ graf

position vs time
speed and acceleration